結構工程師-鋼筋混凝土結構輔導[17]
更新時間:2010-12-10 09:35:28
來源:|0
瀏覽
收藏
結構工程師報名、考試、查分時間 免費短信提醒
第三節承載能力極限狀態計算
一、受彎構件
(一)正截面受彎承載力
1 基本理論
( l )基本假定
1 ) 截面應變保持平面;
2 ) 不考慮混凝土的抗拉強度;
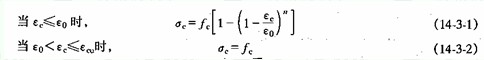
3 ) 混凝土受壓的應力-應變關系為(圖 14-3-1):

式中fc ? 混凝土軸心抗壓強度設計值

4 )鋼筋應力-應變關系
鋼筋應力取等于鋼筋應變與其彈性模量的乘積, 但不大于其強度設計值,受拉鋼筋的極限拉應變取 0.01 ,其應力應變曲線如圖 14-3-2 所示。

2010結構工程師考試成績查詢匯總 2010年結構工程師考后交流正熱
2011結構工程師考試輔導招生簡章 2011年度結構工程師考試時間確定
編輯推薦
最新資訊
- 2025年一級注冊結構工程師考前實戰試題解析:突破考試瓶頸的終極指南‌2025-10-13
- 2025年一級注冊結構工程師常考知識點2025-02-17
- 2025年二級注冊結構工程師高頻知識點2025-02-17
- 2024年度二級注冊結構工程師專業考試資料:規范、標準、規程2024-08-13
- 2024年度一級注冊結構工程師專業考試資料:規范、標準、規程2024-08-13
- 環球網校雙11預售開啟!定金百倍膨脹,直播再返現金2023-10-25
- 環球網校結構工程師雙11活動來啦,限時優惠!2023-10-25
- 注冊結構工程師考試大綱下載2023-05-16
- 2023年一級注冊結構工程師考試大綱內容2023-04-14
- 2023年結構工程師教材內容變動對比2023-04-10