[結構工程師]結構力學考點輔導第一節-72
更新時間:2010-12-02 09:58:39
來源:|0
瀏覽
收藏
結構工程師報名、考試、查分時間 免費短信提醒
(二)單自由度體系有阻尼強迫振動
簡諧荷載P(t)=Psinθt
這時運動微分方程為
![]()
上式的一般解由齊次解和特解組成。齊次解就是式( 11 - 6 -30 ) ,特解為
![]()
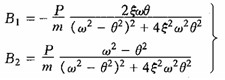
其中

由于阻尼的存在,按頻率ωd振動的齊次解將逐漸衰減而最后消失。而特解按荷載頻率θ 振動,它受動荷載的周期影響而不衰減,這部分又稱穩態強迫振動。下面討論穩態強迫振動。
式( 11-6-44 )可改寫為



2010結構工程師考試成績查詢匯總 2010年結構工程師考后交流正熱
2011結構工程師考試輔導招生簡章 2011年度結構工程師考試時間確定
編輯推薦
最新資訊
- 2025年一級注冊結構工程師考前實戰試題解析:突破考試瓶頸的終極指南‌2025-10-13
- 2025年一級注冊結構工程師常考知識點2025-02-17
- 2025年二級注冊結構工程師高頻知識點2025-02-17
- 2024年度二級注冊結構工程師專業考試資料:規范、標準、規程2024-08-13
- 2024年度一級注冊結構工程師專業考試資料:規范、標準、規程2024-08-13
- 環球網校雙11預售開啟!定金百倍膨脹,直播再返現金2023-10-25
- 環球網校結構工程師雙11活動來啦,限時優惠!2023-10-25
- 注冊結構工程師考試大綱下載2023-05-16
- 2023年一級注冊結構工程師考試大綱內容2023-04-14
- 2023年結構工程師教材內容變動對比2023-04-10