[結構工程師]結構力學考點輔導第一節-35
更新時間:2010-11-24 09:53:16
來源:|0
瀏覽
收藏
結構工程師報名、考試、查分時間 免費短信提醒
(四)計算超靜定結構的內力
由力法典型方程求出各多余未知力Xi 后,將Xi 和原荷載作用在基本結構上,再根 據求作靜定結構內力圖的方法,作出基本結構的內力圖就是超靜定結構的內力圖。或者也 可通過下述疊加方法,計算結構的最后內力。
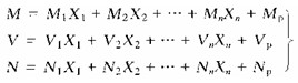
(4—2)
式中Mi、Vi、Ni分別為Xi=1引起的基本結構的彎矩、剪力、軸力;Mp、Vp、Np分別為荷載引起的基本結構的彎矩、剪力、軸力。
對梁和剛架,通常的做法是先根據式(4—2)中的第一式求出各桿端彎矩,再用直桿彎矩圖的疊加法作出各桿的彎矩圖,然后根據彎矩圖由靜力平衡條件求出各桿端的剪力和軸力,并據此作出剪力圖和軸力圖。
2010結構工程師考試成績查詢匯總 2010年結構工程師考后交流正熱
2011結構工程師考試輔導招生簡章 2011年度結構工程師考試時間確定
編輯推薦
最新資訊
- 2025年一級注冊結構工程師考前實戰試題解析:突破考試瓶頸的終極指南‌2025-10-13
- 2025年一級注冊結構工程師常考知識點2025-02-17
- 2025年二級注冊結構工程師高頻知識點2025-02-17
- 2024年度二級注冊結構工程師專業考試資料:規范、標準、規程2024-08-13
- 2024年度一級注冊結構工程師專業考試資料:規范、標準、規程2024-08-13
- 環球網校雙11預售開啟!定金百倍膨脹,直播再返現金2023-10-25
- 環球網校結構工程師雙11活動來啦,限時優惠!2023-10-25
- 注冊結構工程師考試大綱下載2023-05-16
- 2023年一級注冊結構工程師考試大綱內容2023-04-14
- 2023年結構工程師教材內容變動對比2023-04-10