[結構工程師]結構力學考點輔導第一節-28
更新時間:2010-11-24 09:23:31
來源:|0
瀏覽
收藏
結構工程師報名、考試、查分時間 免費短信提醒
四、靜定結構由于溫度變化及桿件長度制造誤差引起的位移計算
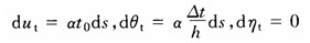
靜定結構在溫度變化時會產生變形,但不產生內力。計算溫度變化引起的結構位移 時,通常假定溫度沿桿件截面高度h是直線變化的。設桿件兩側表面的溫度改變分別為t1和t2,材料的線膨脹系數為α。,則由圖3—6可知微段的溫度變形為
![]()
其中t0=(h1t2+h2t1)/ h,為桿件軸線處的溫度改變;Δt為桿件兩側表面溫度變化差的絕對值。

圖3-6
應用單位荷載法,將dθt、dut、dηt代入變形體虛力方程

式中 Δit為結構的擬求位移處沿i方向由溫度變化引起的位移;ωNi、ωMi分別為桿件Ni圖、Mi圖的面積。當Ni及t0引起的桿件軸向變形方向相同時,上式等號右邊第一項為正,否則為負;當Mi及溫度變化引起的桿件彎曲方向一致時,上式等號右邊的第二項為正,否則為負。
2010結構工程師考試成績查詢匯總 2010年結構工程師考后交流正熱
2011結構工程師考試輔導招生簡章 2011年度結構工程師考試時間確定
編輯推薦
最新資訊
- 2025年一級注冊結構工程師考前實戰試題解析:突破考試瓶頸的終極指南‌2025-10-13
- 2025年一級注冊結構工程師常考知識點2025-02-17
- 2025年二級注冊結構工程師高頻知識點2025-02-17
- 2024年度二級注冊結構工程師專業考試資料:規范、標準、規程2024-08-13
- 2024年度一級注冊結構工程師專業考試資料:規范、標準、規程2024-08-13
- 環球網校雙11預售開啟!定金百倍膨脹,直播再返現金2023-10-25
- 環球網校結構工程師雙11活動來啦,限時優惠!2023-10-25
- 注冊結構工程師考試大綱下載2023-05-16
- 2023年一級注冊結構工程師考試大綱內容2023-04-14
- 2023年結構工程師教材內容變動對比2023-04-10