[結構工程師]結構力學考點輔導第一節-24
更新時間:2010-11-23 09:51:02
來源:|0
瀏覽
收藏
結構工程師報名、考試、查分時間 免費短信提醒
(二)位移計算的簡化(實用)公式
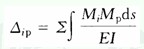
根據理論分析和實驗測定,對比較細長的受彎桿件(桿件截面高度h與桿長l之比<1/5時)來講,式(3—4)中彎曲變形引起的位移是主要的,而軸向變形、剪切變形對位移的影響較小,一般可忽略不計,于是可得位移的簡化計算公式為:
1.梁和剛架
(3—6)
2.組合結構
(3—7)
3.曲桿和拱
只有當可以忽略桿件的曲率對位移的影響時(當桿件的曲率半徑R與桿件的截面高度h之比>5時,可忽略曲率的影響),才能近似地應用式(3-4)計算曲桿和拱的位移。計算比較表明,對于薄拱,剪切變形對位移的影響常可忽略不計;當拱軸線與合理拱軸比較接近,或計算扁平拱(f
(3—8)
而對于一般的拱和曲桿,通常只要考慮彎曲變形的影響。
2010結構工程師考試成績查詢匯總 2010年結構工程師考后交流正熱
2011結構工程師考試輔導招生簡章 2011年度結構工程師考試時間確定
編輯推薦
最新資訊
- 2025年一級注冊結構工程師考前實戰試題解析:突破考試瓶頸的終極指南‌2025-10-13
- 2025年一級注冊結構工程師常考知識點2025-02-17
- 2025年二級注冊結構工程師高頻知識點2025-02-17
- 2024年度二級注冊結構工程師專業考試資料:規范、標準、規程2024-08-13
- 2024年度一級注冊結構工程師專業考試資料:規范、標準、規程2024-08-13
- 環球網校雙11預售開啟!定金百倍膨脹,直播再返現金2023-10-25
- 環球網校結構工程師雙11活動來啦,限時優惠!2023-10-25
- 注冊結構工程師考試大綱下載2023-05-16
- 2023年一級注冊結構工程師考試大綱內容2023-04-14
- 2023年結構工程師教材內容變動對比2023-04-10