2011結構工程師第16章-砌體結構輔導[53]
三、斜截面受剪承載力計算
(一)剪力墻
經試驗研究,由于灌孔混凝土的強度較高,配筋混凝土砌塊砌體剪力墻的抗剪性能與鋼筋混凝土剪力墻的相近。在偏心壓力作用下,配筋混凝土砌塊砌體剪力墻的受剪破壞一般也發生有斜壓、剪壓和剪拉等三種形態。影響其承載力的主要因素與所采用的材料的強度、荷載在墻體截面上產生的垂直壓應力、墻體的高寬比或剪跨比、水平分布鋼筋和豎向鋼筋的配筋率等。
偏心受壓和偏心受拉配筋砌塊砌體剪力墻,其斜截面受剪承載力應根據下列情況進行計算:
1.剪力墻的截面應滿足下列要求:
![]()
式中 V--剪力墻的剪力設計值;
b--剪力墻截面寬度或T形、倒L形截面腹板寬度;
h--剪力墻的截面高度。
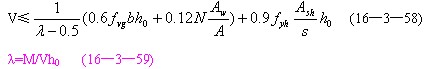
2.剪力墻在偏心受壓時的斜截面受剪承載力應按下列公式計算:

式中 fvg——灌孔砌體抗剪強度設計值,應按《砌體結構設計規渤第3.2.2條的規定采用;
M、N、V——計算截面的彎矩、軸向力和剪力設計值,當N>0.25 fvgbh時取N=0.25 fvgbh;
A——剪力墻的截面面積,其中翼緣的有效面積,可按表16-3-3的規定確定;
Aw _____T形或倒L形截面腹板的截面面積,對矩形截面取Aw等于A;
λ-計算截面的剪跨比,當λ小于1.5時取1.5,當λ大于等于2.2時取2.2;
ho--剪力墻截面的有效高度;
Ash——配置在同一截面內的水平分布鋼筋的全部截面面積;
s——水平分布鋼筋的豎向間距;
fyh----------水平鋼筋的抗拉強度設計值。
3.剪力墻在偏心受拉時的斜截面受剪承載力應按下式計算:

2010結構工程師考試成績查詢匯總 2010年結構工程師考后交流正熱
2011結構工程師考試輔導招生簡章 2011年度結構工程師考試時間確定
最新資訊
- 2025年一級注冊結構工程師考前實戰試題解析:突破考試瓶頸的終極指南‌2025-10-13
- 2025年一級注冊結構工程師??贾R點2025-02-17
- 2025年二級注冊結構工程師高頻知識點2025-02-17
- 2024年度二級注冊結構工程師專業考試資料:規范、標準、規程2024-08-13
- 2024年度一級注冊結構工程師專業考試資料:規范、標準、規程2024-08-13
- 環球網校雙11預售開啟!定金百倍膨脹,直播再返現金2023-10-25
- 環球網校結構工程師雙11活動來啦,限時優惠!2023-10-25
- 注冊結構工程師考試大綱下載2023-05-16
- 2023年一級注冊結構工程師考試大綱內容2023-04-14
- 2023年結構工程師教材內容變動對比2023-04-10