2011結構工程師第16章-砌體結構輔導[43]
更新時間:2010-11-08 09:53:45
來源:|0
瀏覽
收藏
結構工程師報名、考試、查分時間 免費短信提醒
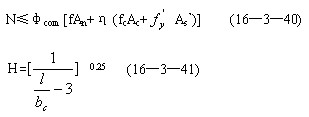
(二)磚砌體和鋼筋混凝土構造柱組合墻
由于鋼筋混凝土構造柱的有利作用,遂形成磚砌體和鋼筋混凝土構造柱組成的組合磚墻。
1.軸心受壓承載力計算公式

式中 φcom一——組合磚墻的穩定系數,可按相應表格采用;
η——強度系數,當l/bc小于4時取l/bc等于4;
l——沿墻長方向構造柱的間距;
bc——沿墻長方向構造柱的寬度;
An——磚砌體的凈截面面積;
Ac——構造柱的截面面積
2010結構工程師考試成績查詢匯總 2010年結構工程師考后交流正熱
2011結構工程師考試輔導招生簡章 2011年度結構工程師考試時間確定
編輯推薦
最新資訊
- 2025年一級注冊結構工程師考前實戰試題解析:突破考試瓶頸的終極指南‌2025-10-13
- 2025年一級注冊結構工程師??贾R點2025-02-17
- 2025年二級注冊結構工程師高頻知識點2025-02-17
- 2024年度二級注冊結構工程師專業考試資料:規范、標準、規程2024-08-13
- 2024年度一級注冊結構工程師專業考試資料:規范、標準、規程2024-08-13
- 環球網校雙11預售開啟!定金百倍膨脹,直播再返現金2023-10-25
- 環球網校結構工程師雙11活動來啦,限時優惠!2023-10-25
- 注冊結構工程師考試大綱下載2023-05-16
- 2023年一級注冊結構工程師考試大綱內容2023-04-14
- 2023年結構工程師教材內容變動對比2023-04-10