2011結構工程師第16章-砌體結構輔導[37]
4.承載力計算
(1)計算公式
網狀配筋磚砌體受壓構件的承載力,應按下式計算
N≤φnfnA (16—3—26)
式中 N___軸向力設計值;
φn——高厚比和配筋率以及軸向力的偏心距對網狀配筋磚砌體受壓構件承載力的影響系數;
fn——網狀配筋磚砌體的抗壓強度設計值;-
A-------------截面面積。
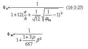
(2)網狀配筋磚砌體構件的軸向力影響系數φn
φn取用了與無筋砌體影響系數φn (公式16-3-3),相一致的表達式。因此,當網狀配筋磚砌體的偏心距e<0.2h時,可簡化為

式中 ρ——配筋率(體積比);
φ0n。——網狀配筋磚砌體受壓構件的穩定系數;
β——高厚比。
網狀配筋砌體構件的軸向力影響系數fn值也可由規范相應表格直接查得。
(3)網狀配筋砌體的抗壓強度設計值
![]()
式中 e——軸向力的偏心距;
y--截面重心軸到軸向力所在偏心方向截面邊緣的距離; ’
ρ——配筋率(體積比),ρ=(Vs/V)100,當采用截面面積為As的鋼筋組成的方格 網,網格尺寸為a和鋼筋網的豎向間婦為sn時ρ=(2As/asn)100
Vs、V--分別為鋼筋和砌體的體積;
fy--鋼筋的抗拉強度設計值,當fy >320N/mm2時,仍采用fy =320N/mm2。
對矩形截面構件,當軸向力偏心方向的截面邊長大于另一方向的邊長時,除按偏心受 壓計算外,還應對較小邊長方向按軸心受壓進行驗算。
當網狀配筋磚砌體下端與無筋砌體交接時,尚應驗算交接處無筋砌體的局部受壓承載力。
2010結構工程師考試成績查詢匯總 2010年結構工程師考后交流正熱
2011結構工程師考試輔導招生簡章 2011年度結構工程師考試時間確定
最新資訊
- 2025年一級注冊結構工程師考前實戰試題解析:突破考試瓶頸的終極指南‌2025-10-13
- 2025年一級注冊結構工程師常考知識點2025-02-17
- 2025年二級注冊結構工程師高頻知識點2025-02-17
- 2024年度二級注冊結構工程師專業考試資料:規范、標準、規程2024-08-13
- 2024年度一級注冊結構工程師專業考試資料:規范、標準、規程2024-08-13
- 環球網校雙11預售開啟!定金百倍膨脹,直播再返現金2023-10-25
- 環球網校結構工程師雙11活動來啦,限時優惠!2023-10-25
- 注冊結構工程師考試大綱下載2023-05-16
- 2023年一級注冊結構工程師考試大綱內容2023-04-14
- 2023年結構工程師教材內容變動對比2023-04-10