2011結構工程師第16章-砌體結構輔導[33]
更新時間:2010-11-05 09:19:06
來源:|0
瀏覽
收藏
結構工程師報名、考試、查分時間 免費短信提醒
五、受剪構件計算
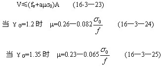
在無拉桿的拱支座截面處,由于拱的水平推力將使支座截面受剪。在受剪構件中,除水平剪力外,往往還有垂直壓力。隨著剪力的加大,由于砂漿產生很大的剪切變形,一層砌體對另一層砌體開始滑移,當有垂直壓力時,內摩擦力將參加抵抗滑移。因此,砌體沿水平灰縫的抗剪承載力取決于沿砌體灰縫截面破壞時的抗剪承載力和作用在截面上的垂直壓力所產生摩擦力的總和。
此外,由于砌體豎向灰縫的抗剪能力很低,可將砌體沿階梯形截面受剪破壞時近似按其水平投影截面來計算。根據試驗和分沿通縫或沿階梯形截面破壞時受剪構件的承載力遂采用復合受力影響系數的剪摩理論模式按下列公式計算:

式中 V--截面剪力設計值;
A--水平截面面積。當有孔洞時,取凈截面面積;
Fv--砌體抗剪強度設計值,對灌孔的混凝土砌塊砌體取fvG
a——修正系數。
當γG=1.2時,磚砌體取0.60,混凝土砌塊砌體取0.64;
當γG=1.35時,磚砌體取0.64,混凝土砌塊砌體取0.66;
μ——剪壓復合受力影響系數,o與/<的乘積可查表應用;
σo——永久荷載設計值產生的水平截面平均壓應力;
f——砌體的抗壓強度設計值:
σ0/f——軸壓比,且不大于0.8。
3—2 配筋磚砌體構件的承載力計算
2010結構工程師考試成績查詢匯總 2010年結構工程師考后交流正熱
2011結構工程師考試輔導招生簡章 2011年度結構工程師考試時間確定
編輯推薦
最新資訊
- 2025年一級注冊結構工程師考前實戰試題解析:突破考試瓶頸的終極指南‌2025-10-13
- 2025年一級注冊結構工程師常考知識點2025-02-17
- 2025年二級注冊結構工程師高頻知識點2025-02-17
- 2024年度二級注冊結構工程師專業考試資料:規范、標準、規程2024-08-13
- 2024年度一級注冊結構工程師專業考試資料:規范、標準、規程2024-08-13
- 環球網校雙11預售開啟!定金百倍膨脹,直播再返現金2023-10-25
- 環球網校結構工程師雙11活動來啦,限時優惠!2023-10-25
- 注冊結構工程師考試大綱下載2023-05-16
- 2023年一級注冊結構工程師考試大綱內容2023-04-14
- 2023年結構工程師教材內容變動對比2023-04-10