2011結構工程師第16章-砌體結構輔導[22]
更新時間:2010-11-03 14:09:28
來源:|0
瀏覽
收藏
結構工程師報名、考試、查分時間 免費短信提醒
3.軸向力偏心距e的限值
荷載較大和偏心距較大的構件,隨著偏心距的增大和受壓區高度明顯減小,在使用階 段時,砌體受拉邊緣已產生較寬的水平裂縫,構件剛度降低,縱向彎曲影響增加,承載力顯著下降。故規范規定,按荷載設計值計算的軸向力的偏心距e應符合下列限值要求,即
e≤0.6y (16-3—8)
式中 y-----------截面重心至軸向力所在偏心方向截面邊緣的距離。
4.雙向偏心受壓構件
當軸向壓力在矩形截面的兩個主軸方向都有偏心距,或同時承受軸心壓力及兩個方向彎矩的構件,即為雙向偏心受壓構件。
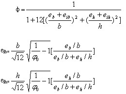
雙向偏心受壓構件的截面承載力計算比較復雜,采用附加偏心距法,即截面承載力仍按單向偏心受壓公式計算,而承載力的影響系數則要考慮兩個方向偏心距的影響,可按下式計算:

式中 eb、eh--軸向力在截面重心x軸、y軸方向的偏心距,eb、eh宜分別不大于0.5x和0.5y;
x、y——自截面重心沿x軸、y軸至軸向力所在偏心方向截面邊緣的距離;
eib、ei---鈾向力在截面重心x軸、y軸方向的附加偏心距;
用附加偏心距法作分析還表明,當截面一個方向的偏心率(eb/b或,eh/h)不大于另一個方向的偏心率的5%時,可簡化按另一個方向的單向偏心受壓確定其承載力,影響系數φ可按本節式(16-3-3)的規定計算,承載力的計算誤差小于5%。
2010結構工程師考試成績查詢匯總 2010年結構工程師考后交流正熱
2011結構工程師考試輔導招生簡章 2011年度結構工程師考試時間確定
編輯推薦
最新資訊
- 2025年一級注冊結構工程師考前實戰試題解析:突破考試瓶頸的終極指南‌2025-10-13
- 2025年一級注冊結構工程師常考知識點2025-02-17
- 2025年二級注冊結構工程師高頻知識點2025-02-17
- 2024年度二級注冊結構工程師專業考試資料:規范、標準、規程2024-08-13
- 2024年度一級注冊結構工程師專業考試資料:規范、標準、規程2024-08-13
- 環球網校雙11預售開啟!定金百倍膨脹,直播再返現金2023-10-25
- 環球網校結構工程師雙11活動來啦,限時優惠!2023-10-25
- 注冊結構工程師考試大綱下載2023-05-16
- 2023年一級注冊結構工程師考試大綱內容2023-04-14
- 2023年結構工程師教材內容變動對比2023-04-10