2011結構工程師第15章-鋼結構考點習題(7)
更新時間:2010-10-26 11:11:34
來源:|0
瀏覽
收藏
結構工程師報名、考試、查分時間 免費短信提醒
例:
1.承壓型高強螺栓連接可用于( )。
A.直接承受動力荷載的結構B.承受反復荷載作用的結構
C.承受靜力荷載或間接動力荷載的結構D.薄壁型鋼結構
【解】本題考螺栓材料的選用,承壓型高強螺栓連接不應用于直接承受動力荷載的結 構,故應選C項。
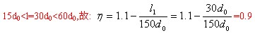
2.某桿件與節點板采用22個M24的螺栓連接,沿受力方向分兩排按最小間距(3d0)排列,螺栓的承載力折減系數是( )。
A. 0.75 B. 0.80 C. 0.85 D. 0.90
解:每排為11個,連接長度: l=10×3do=30d0
2010結構工程師考試成績查詢匯總 2010年結構工程師考后交流正熱
2011結構工程師考試輔導招生簡章 2011年度結構工程師考試時間確定
所以應選D項。
編輯推薦
最新資訊
- 2025年一級注冊結構工程師考前實戰試題解析:突破考試瓶頸的終極指南‌2025-10-13
- 2025年一級注冊結構工程師常考知識點2025-02-17
- 2025年二級注冊結構工程師高頻知識點2025-02-17
- 2024年度二級注冊結構工程師專業考試資料:規范、標準、規程2024-08-13
- 2024年度一級注冊結構工程師專業考試資料:規范、標準、規程2024-08-13
- 環球網校雙11預售開啟!定金百倍膨脹,直播再返現金2023-10-25
- 環球網校結構工程師雙11活動來啦,限時優惠!2023-10-25
- 注冊結構工程師考試大綱下載2023-05-16
- 2023年一級注冊結構工程師考試大綱內容2023-04-14
- 2023年結構工程師教材內容變動對比2023-04-10