2011結構工程師第15章-鋼結構考點(71)
更新時間:2010-10-26 11:03:47
來源:|0
瀏覽
收藏
結構工程師報名、考試、查分時間 免費短信提醒
3.剪力螺栓群在軸力作用下計算
軸力N通過螺栓群形心,每個螺栓受力為:
![]()
式中 n——螺栓數
——一個高強螺栓的抗剪承載力,按式(15-3-37)計算。
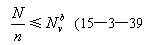
式(15-3-39)也可寫成所需螺栓數n為:
![]()
構件凈截面所受力N’為

2010結構工程師考試成績查詢匯總 2010年結構工程師考后交流正熱
2011結構工程師考試輔導招生簡章 2011年度結構工程師考試時間確定
編輯推薦
最新資訊
- 2025年一級注冊結構工程師考前實戰試題解析:突破考試瓶頸的終極指南‌2025-10-13
- 2025年一級注冊結構工程師常考知識點2025-02-17
- 2025年二級注冊結構工程師高頻知識點2025-02-17
- 2024年度二級注冊結構工程師專業考試資料:規范、標準、規程2024-08-13
- 2024年度一級注冊結構工程師專業考試資料:規范、標準、規程2024-08-13
- 環球網校雙11預售開啟!定金百倍膨脹,直播再返現金2023-10-25
- 環球網校結構工程師雙11活動來啦,限時優惠!2023-10-25
- 注冊結構工程師考試大綱下載2023-05-16
- 2023年一級注冊結構工程師考試大綱內容2023-04-14
- 2023年結構工程師教材內容變動對比2023-04-10