2011結構工程師第15章-鋼結構考點(65)
更新時間:2010-10-26 10:35:34
來源:|0
瀏覽
收藏
結構工程師報名、考試、查分時間 免費短信提醒
2.單個螺栓的承載力計算
每個螺栓受力后能保證正常工作而不會出現破壞所能承受的最大外力稱為這個螺栓的承一載力。當一個螺栓受力后可能出現幾種破壞形式時,應求得相應于幾種破壞形式的承載力,其中的最小者即為這個螺栓的承載力。
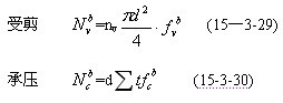
(1)每個受剪螺栓的承載力

取二者中的小者為一個螺栓的承載力,以
表示。
式中

——在同一受力方向承壓構件的較小總厚度;
——螺栓連接的孔壁承壓強度設計值。
(2)每個受拉螺栓的承載力
![]()
式中 de--螺栓螺紋處的有效直徑;
Ae--螺栓螺紋處的有效面積;
——螺栓的抗拉強度設計值。
2010結構工程師考試成績查詢匯總 2010年結構工程師考后交流正熱
2011結構工程師考試輔導招生簡章 2011年度結構工程師考試時間確定
編輯推薦
最新資訊
- 2025年一級注冊結構工程師考前實戰試題解析:突破考試瓶頸的終極指南‌2025-10-13
- 2025年一級注冊結構工程師常考知識點2025-02-17
- 2025年二級注冊結構工程師高頻知識點2025-02-17
- 2024年度二級注冊結構工程師專業考試資料:規范、標準、規程2024-08-13
- 2024年度一級注冊結構工程師專業考試資料:規范、標準、規程2024-08-13
- 環球網校雙11預售開啟!定金百倍膨脹,直播再返現金2023-10-25
- 環球網校結構工程師雙11活動來啦,限時優惠!2023-10-25
- 注冊結構工程師考試大綱下載2023-05-16
- 2023年一級注冊結構工程師考試大綱內容2023-04-14
- 2023年結構工程師教材內容變動對比2023-04-10