結構工程師-結構動力試驗知識點3
更新時間:2010-09-29 13:05:03
來源:|0
瀏覽
收藏
結構工程師報名、考試、查分時間 免費短信提醒
(2)強迫振動法
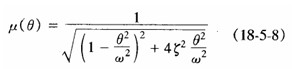
由單自由度有阻尼強迫振動運動方程可以得到動力系數(放大系數)μ(θ)為

如以μ(θ)為縱坐標,以θ為橫坐標,即可畫出動力系數(共振曲線)的曲線,見圖18—5—5所示。

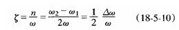
按照結構動力學原理,用半功率法(0.707法)可以由共振曲線確定結構阻尼比ξ。
在共振曲線圖的縱坐標上取 值,即0.707μ(θ)處作一水平線,使之與共振曲線相交于A、B兩點,對應于A、B兩點在橫坐標上得ωl,ω2,即可求得衰減系數和阻尼比:
衰減系數
![]()
結構的阻尼比
![]()
2010結構工程師考試成績查詢匯總 2010年結構工程師考后交流正熱
2011結構工程師考試輔導招生簡章 2011年度結構工程師考試時間預測
編輯推薦
上一篇:結構工程師-結構動力試驗知識點2
下一篇:結構工程師-結構動力試驗知識點4
最新資訊
- 2025年一級注冊結構工程師考前實戰試題解析:突破考試瓶頸的終極指南‌2025-10-13
- 2025年一級注冊結構工程師??贾R點2025-02-17
- 2025年二級注冊結構工程師高頻知識點2025-02-17
- 2024年度二級注冊結構工程師專業考試資料:規范、標準、規程2024-08-13
- 2024年度一級注冊結構工程師專業考試資料:規范、標準、規程2024-08-13
- 環球網校雙11預售開啟!定金百倍膨脹,直播再返現金2023-10-25
- 環球網校結構工程師雙11活動來啦,限時優惠!2023-10-25
- 注冊結構工程師考試大綱下載2023-05-16
- 2023年一級注冊結構工程師考試大綱內容2023-04-14
- 2023年結構工程師教材內容變動對比2023-04-10