注冊結構工程師輔導:極限承載力基本概念
更新時間:2010-08-05 11:18:05
來源:|0
瀏覽
收藏
結構工程師報名、考試、查分時間 免費短信提醒
三、地基承載力理論
地基承載力理論有兩種分析方法:極限荷載和臨塑臨界荷載。極限荷載是指地基發生整體剪切破壞時的最小壓力;臨塑荷載和臨界荷載是指地基中產生局部剪切破壞時的壓力。因此后者不是一個固定值,而是與破壞區的大小相對應的。例如,當地基中剛要產生塑性區時的荷載稱為臨塑荷載;如果允許地基中產生四分之一基礎寬度塑性區時的荷載,稱為臨界荷載。地基承載力的理論基礎是土的強度極限平衡理論。
(一)極限承載力
1.基本概念
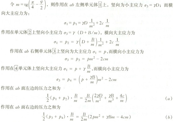
埋置深度為D,寬度為B的條形基礎,見圖12-5-11 (α)。假定基礎底面無摩擦,可以設想基底下作用在A土體單元上的豎向為大主應力σlA,而橫向為小主應力σ3A。作用在基底范圍以外B單元上橫向是大主應力σ1B;而豎向是小主應力σ3B。因此當荷載p增加,地基發生整體破壞時地基中形成二組滑動面在基礎范圍內aa‘為大主應力平面,因此滑面方向與aa‘面夾角為
;在基礎范圍以外, ac面為小主應力平面,滑動面方向與ac面夾角為
。見圖12-5-11 (b)所示。基礎底面以下土體發生主動破壞,稱為主動區;基底外土體發生被動破壞,稱為被動區。滑動面由兩個平面所組成。建立主動區與被動區界面ab面的平衡條件,見圖12-5-11 (c)所示。



2010年注冊結構工程師考試報名時間信息匯總
結構工程師基礎科目(一)考試普通化學練習題匯總
2010年結構師考試9月18、19日
更多信息請訪問:
![]()
編輯推薦
上一篇:注冊結構工程師輔導:擋土墻設計
最新資訊
- 2025年一級注冊結構工程師考前實戰試題解析:突破考試瓶頸的終極指南‌2025-10-13
- 2025年一級注冊結構工程師常考知識點2025-02-17
- 2025年二級注冊結構工程師高頻知識點2025-02-17
- 2024年度二級注冊結構工程師專業考試資料:規范、標準、規程2024-08-13
- 2024年度一級注冊結構工程師專業考試資料:規范、標準、規程2024-08-13
- 環球網校雙11預售開啟!定金百倍膨脹,直播再返現金2023-10-25
- 環球網校結構工程師雙11活動來啦,限時優惠!2023-10-25
- 注冊結構工程師考試大綱下載2023-05-16
- 2023年一級注冊結構工程師考試大綱內容2023-04-14
- 2023年結構工程師教材內容變動對比2023-04-10