注冊結構工程師輔導:土的抗剪強度習題(2)
更新時間:2010-08-05 10:06:31
來源:|0
瀏覽
收藏
結構工程師報名、考試、查分時間 免費短信提醒
6.黏性士中某點的大主應力為σ1=400kPa時,其內摩擦角φ= 20°, c= 10kPa,問該點發生破壞時小主應力的大小應為(A)
(A) 182kPa; (B) 294kPa;
(C) 266kPa; (D) 210kPa
7.擋土墻后填土處于主動極限平衡狀態時,則擋土墻: (B)
(A)在外荷載作用下推擠墻背后土體;
(B)在外荷載作用下偏離墻背后土體;
(C)被土壓力推動而偏離墻背土體;
(D)被土體限制而處于原來位置。
8.作用在擋土墻上的主動土壓力Ea,靜止土壓力E0,被動土壓力Ep的大小依次為(A)
(A) Ea
(C) Ep
9.有兩個性質相同的飽和黏性土土樣,分別在有側限和元側限條件下,瞬時施加一 個相同的豎向應力p,則有(B)
A.產生的孔隙水應力相同 B有側限條件大于無側限條件
C.有側限條件小于無側限條件D.無側限土樣中部的孔隙水應力比有側限大
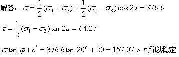
10.某一點的應力狀態為σ1 =400kPa,σ3 =200kPa, c=20kPa,Φ= 20°,則該點處于下列(A )項所述情況。
A.穩定狀態B.極限平衡狀態C.元法判斷D.破壞狀態

2010年注冊結構工程師考試報名時間信息匯總
結構工程師基礎科目(一)考試普通化學練習題匯總
2010年結構師考試9月18、19日
更多信息請訪問:
![]()
編輯推薦
最新資訊
- 2025年二級結構工程師考試都是選擇題嗎?題型分布與備考策略全解析2025-10-30
- 2025年一級注冊結構工程師模擬題終極指南:高效備考沖刺全攻略2025-10-30
- 2025年二級結構工程師專業考試模擬題解析,免費下載!備考沖刺必備資料2025-10-29
- 注冊結構工程師模擬考試題2023-04-23
- 一級注冊結構工程師模擬題下載2023-04-21
- 一級注冊結構工程師模擬題2023-04-20
- 2022年一級注冊結構工程師試題2022-04-11
- 2021年注冊結構工程師考前復習練習題匯總(含模擬題、歷年真題)2021-09-28
- 2021年二級注冊結構工程師專業考試沖刺試題及答案(十)2021-09-16
- 2021年二級注冊結構工程師專業考試沖刺試題及答案(九)2021-09-15