注冊結構工程師輔導:抗剪強度理論
更新時間:2010-08-04 11:14:21
來源:|0
瀏覽
收藏
結構工程師報名、考試、查分時間 免費短信提醒


何平面上的剪應力都小于土所能發揮的強度; II圓正好與強度線相切,切點A所代表的 平面為破裂面,該面上的應力條件為極限平衡狀態;III圓與強度線相割,實際上這種應力 條件是不可能存在的。
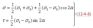
(一)土中任意一點的應力狀態
取一單元微體,圖12-4-14 (α) ,設作用在單元體上大主應力σ1小主應力σ3。則作 用在與大主應力平面成α角的mn平面上的正應力σ和剪應力τ與σl、σ3的關系可根據圖 12-4-14 (b)平衡條件寫出

圖12-4-14土體中任意點的應力 (α)單元微體上的應力; (b)隔離體abc上的應力; (c)莫爾園

式(12-4-6 )也可以按圖12-4-14 (c)幾何關系證明。
2010年注冊結構工程師考試報名時間信息匯總
結構工程師基礎科目(一)考試普通化學練習題匯總
2010年結構師考試9月18、19日
更多信息請訪問:
![]()
編輯推薦
最新資訊
- 2025年一級注冊結構工程師考前實戰試題解析:突破考試瓶頸的終極指南‌2025-10-13
- 2025年一級注冊結構工程師常考知識點2025-02-17
- 2025年二級注冊結構工程師高頻知識點2025-02-17
- 2024年度二級注冊結構工程師專業考試資料:規范、標準、規程2024-08-13
- 2024年度一級注冊結構工程師專業考試資料:規范、標準、規程2024-08-13
- 環球網校雙11預售開啟!定金百倍膨脹,直播再返現金2023-10-25
- 環球網校結構工程師雙11活動來啦,限時優惠!2023-10-25
- 注冊結構工程師考試大綱下載2023-05-16
- 2023年一級注冊結構工程師考試大綱內容2023-04-14
- 2023年結構工程師教材內容變動對比2023-04-10