注冊結構工程師輔導:自重應力
第二節 土中應力
土中應力按引起的原因來分,可分成由土本身自重引起的自重應力和由建筑物荷載或工程活動引起的稱為附加應力。因為土體是由固體顆粒構成的骨架及由水和氣充滿的孔隙所組成。所以土中應力又可分成由骨架所承受的有效應力和由孔隙中的氣或水承受的孔隙應力。
一、自重應力
建筑物建造之前,土中的應力是由土體本身自重引起的。假定天然地面是一個無限大的水平面,因而任意豎直面和水平面上均無剪應力存在。如果地面下土質均勻,天然重度為γ,則地面下任意深度z處α-α水平面上的豎向自重應力σcz等于該水平面以上土柱的重量,即
σcz = γz (12-2-1)

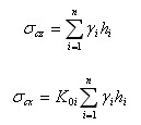
σcz沿水平面均勻分布,且與z成正比,即隨深度按直線規律分布。見圖12-2-1所示。 同理,在與水平面垂直的豎向平面上作用有水平向側向應力σcx和σcy'根據彈性理論,則
(12–2–1)
式中 ——土的靜止側壓力系數,可通過試驗測定。
天然地層往往由不同土層所組成,因而在深度z處的自重應力應改寫為:
(12–2-2)
式中
——第i層土的容重,kN/m3;
——第i層土的厚度,m。
當有地下水存在時,地下水位以下的土受到水的浮力作用,
用浮容重 計算的自重應力實際上標志著作用在土骨架上的應力,該自重應力成為有效自重應力;用飽和容重計算的自重應力稱為總自重應力。總自重應力與有效自重應力之差即為土中孔隙里的水承擔的壓力稱為孔隙水壓力。工程上最關心的是土中的有效自重應力,所以一般把有效自重應力簡稱為自重應力,所以今后在談到自重應力時,大家一定要清楚指的是有效自重應力。


2010年注冊結構工程師考試報名時間信息匯總
結構工程師基礎科目(一)考試普通化學練習題匯總
2010年結構師考試9月18、19日
更多信息請訪問:
![]()
最新資訊
- 2025年一級注冊結構工程師考前實戰試題解析:突破考試瓶頸的終極指南‌2025-10-13
- 2025年一級注冊結構工程師常考知識點2025-02-17
- 2025年二級注冊結構工程師高頻知識點2025-02-17
- 2024年度二級注冊結構工程師專業考試資料:規范、標準、規程2024-08-13
- 2024年度一級注冊結構工程師專業考試資料:規范、標準、規程2024-08-13
- 環球網校雙11預售開啟!定金百倍膨脹,直播再返現金2023-10-25
- 環球網校結構工程師雙11活動來啦,限時優惠!2023-10-25
- 注冊結構工程師考試大綱下載2023-05-16
- 2023年一級注冊結構工程師考試大綱內容2023-04-14
- 2023年結構工程師教材內容變動對比2023-04-10