注冊結構工程師輔導:量綱分析
四、量綱分析
(一)量綱和量綱的和諧性、
量綱是物理量的單位種類。其長度可以用米、市尺、英尺等不同的單位度量,但這些單位均屬同一量綱,用[L]表示。其他物理量如時間、速度、動量、力等也各屬一種量綱。具有獨立性的量綱叫基本量綱,它不能由其他基本量綱組合或推導出來。如長度l的量綱[L],時間的量綱[T],質量m的量綱[M]屬基本量綱。其他物理量的量綱都可用這三個基本量綱來表示。在力學上任何有物理意義的方程式或關系式,每一項的量綱必相同,稱為量綱齊次性規律。一個量綱齊次性方程,可以化為無量綱方程,只要用方程中任意一項除以其他各項。如能量方程中用z遍除其他各項,于是各項都成為無量綱量,而它的和等于1。由此可見,各物理量及量綱關系的規律是:
1.方程式中各項量綱必須和諧。
2.任何有量綱方程可改變無量綱方程,改變后的方程函數關系不變。
(二)量綱分析法
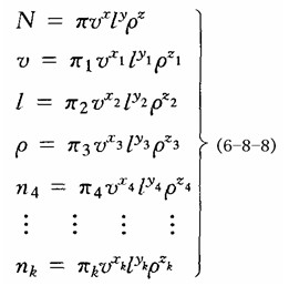
引出普遍的定理稱丌定律,用布金漢法進行量綱分析的主要步驟如下:
1.設量綱和諧的函數關系式N=f(n1,n2,n3,…,nk)中有九個量綱互相獨立的物理量。
2。確定基本物理量不超過三個。
3.取n1=v,n2=l,n3=ρ為基本量,則
![]()
4.式(6-8—6)中N,n4…nk可由基本物理量量綱導出:

物理量相等:

因 是無量綱的,根據這一條件,指數x,y,z就可算出來。把式(6—8—8)代入式(6—8—6)中得:

即
![]()
以—上討論說明,如果在一個量綱統一的方程中,有n個量綱變量,則m個變量(基本量)在量綱上是獨立的,其余n—m個變量的量綱是非獨立的,即n—m個無量綱,這些無量綱數叫
數,稱
定律。
2010年注冊結構工程師考試報名時間信息匯總
結構工程師基礎科目(一)考試普通化學練習題匯總
2010年結構師考試9月18、19日
更多信息請訪問:結構工程師頻道 結構工程師論壇
最新資訊
- 2025年一級注冊結構工程師考前實戰試題解析:突破考試瓶頸的終極指南‌2025-10-13
- 2025年一級注冊結構工程師常考知識點2025-02-17
- 2025年二級注冊結構工程師高頻知識點2025-02-17
- 2024年度二級注冊結構工程師專業考試資料:規范、標準、規程2024-08-13
- 2024年度一級注冊結構工程師專業考試資料:規范、標準、規程2024-08-13
- 環球網校雙11預售開啟!定金百倍膨脹,直播再返現金2023-10-25
- 環球網校結構工程師雙11活動來啦,限時優惠!2023-10-25
- 注冊結構工程師考試大綱下載2023-05-16
- 2023年一級注冊結構工程師考試大綱內容2023-04-14
- 2023年結構工程師教材內容變動對比2023-04-10