注冊結構工程師輔導:壓力作用流動的動力相似
更新時間:2010-07-28 09:00:54
來源:|0
瀏覽
收藏
結構工程師報名、考試、查分時間 免費短信提醒
(三)壓力作用流動的動力相似
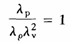
壓力總是存在的,并出現在描述流動的任一完整的方程式中,壓力的比例尺

它與慣性力之比可得
![]()
或

式中 Eu為歐拉數,其物理意義在于它反映了壓力與慣性力的比值。因壓力由流動情況決定,不像黏性力和重力能決定流動的特性,故Eu數不是獨立的相似準則。
2010年注冊結構工程師考試報名時間信息匯總
結構工程師基礎科目(一)考試普通化學練習題匯總
2010年結構師考試9月18、19日
更多信息請訪問:結構工程師頻道 結構工程師論壇
編輯推薦
下一篇:注冊結構工程師輔導:模型律
最新資訊
- 2025年一級注冊結構工程師考前實戰試題解析:突破考試瓶頸的終極指南‌2025-10-13
- 2025年一級注冊結構工程師常考知識點2025-02-17
- 2025年二級注冊結構工程師高頻知識點2025-02-17
- 2024年度二級注冊結構工程師專業考試資料:規范、標準、規程2024-08-13
- 2024年度一級注冊結構工程師專業考試資料:規范、標準、規程2024-08-13
- 環球網校雙11預售開啟!定金百倍膨脹,直播再返現金2023-10-25
- 環球網校結構工程師雙11活動來啦,限時優惠!2023-10-25
- 注冊結構工程師考試大綱下載2023-05-16
- 2023年一級注冊結構工程師考試大綱內容2023-04-14
- 2023年結構工程師教材內容變動對比2023-04-10