注冊結構工程師輔導:運動相似
更新時間:2010-07-28 08:32:02
來源:|0
瀏覽
收藏
結構工程師報名、考試、查分時間 免費短信提醒
(二)運動相似
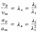
如果原型流場和模型流場的對應點存在同名速度,且速度矢量圖成幾何相似,就滿足運動相似。包含著時間間隔的相似,由于兩流場中對應的長度成一定的比例,對應的時間間隔也成一定的比例。而在相應的時刻兩對應質點的速度和加速度成比例。設對應的時間比例λt=tp/tm,其對應的流速和加速度值之比可表示為:

2010年注冊結構工程師考試報名時間信息匯總
結構工程師基礎科目(一)考試普通化學練習題匯總
2010年結構師考試9月18、19日
更多信息請訪問:結構工程師頻道 結構工程師論壇
編輯推薦
上一篇:注冊結構工程師輔導:幾何相似
下一篇:注冊結構工程師輔導:動力相似
最新資訊
- 2025年一級注冊結構工程師考前實戰試題解析:突破考試瓶頸的終極指南‌2025-10-13
- 2025年一級注冊結構工程師常考知識點2025-02-17
- 2025年二級注冊結構工程師高頻知識點2025-02-17
- 2024年度二級注冊結構工程師專業考試資料:規范、標準、規程2024-08-13
- 2024年度一級注冊結構工程師專業考試資料:規范、標準、規程2024-08-13
- 環球網校雙11預售開啟!定金百倍膨脹,直播再返現金2023-10-25
- 環球網校結構工程師雙11活動來啦,限時優惠!2023-10-25
- 注冊結構工程師考試大綱下載2023-05-16
- 2023年一級注冊結構工程師考試大綱內容2023-04-14
- 2023年結構工程師教材內容變動對比2023-04-10