注冊結構工程師輔導:集水廊道
更新時間:2010-07-27 08:52:48
來源:|0
瀏覽
收藏
結構工程師報名、考試、查分時間 免費短信提醒
(二)集水廊道
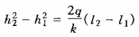
圖6-7-2所示,不透水層頂部(或含水層底板)水平。地下水面(包括無壓水的自由表面及有壓水的測壓管水頭面)在集水廊道未排水或抽水前的水面稱地下水靜水面,排入后到達恒定狀態的水面稱動水面,動水面的水面線也叫浸潤曲線。還假定集水廊道開挖到不透水層,于是集水廊道底面不進水。集水廊道垂直于底面方向單位寬度(B=1)的單寬流量q=vz=kJz,根據裘布依,J=sinθ≈tgθ=dz/dl,q=kztgθ=kz·dz/dl,令距離廊道l1和l2的地下水深分別為h1和h2,將上式分離變量,
![]()
積分之,得

上式為集水廊道浸潤曲線方程。設集水廊道中的動水位為h0,含水層在集水廊道未工作前的厚度H,按上式,有

式中 l稱為集水廊道的影響范圍,在此范圍以外,靜水位不下降,即不受影響。若引入浸潤曲線的平均坡度
這一概念,則上式可改寫成
![]()
這一公式可用來初步估算q。不同的土的
值,大致為:極粗的砂及卵石,
=0.003~0.006;砂土
=0.006~0.02;砂質巖層
=0.02~0.05;砂粘土 =0.05~0.10;
粘土為0.10~0.20。式(6-7-3)也可改寫成

2010年注冊結構工程師考試報名時間信息匯總
結構工程師基礎科目(一)考試普通化學練習題匯總
2010年結構師考試9月18、19日
更多信息請訪問:結構工程師頻道 結構工程師論壇
編輯推薦
下一篇:注冊結構工程師輔導:單井
最新資訊
- 2025年一級注冊結構工程師考前實戰試題解析:突破考試瓶頸的終極指南‌2025-10-13
- 2025年一級注冊結構工程師?贾R點2025-02-17
- 2025年二級注冊結構工程師高頻知識點2025-02-17
- 2024年度二級注冊結構工程師專業考試資料:規范、標準、規程2024-08-13
- 2024年度一級注冊結構工程師專業考試資料:規范、標準、規程2024-08-13
- 環球網校雙11預售開啟!定金百倍膨脹,直播再返現金2023-10-25
- 環球網校結構工程師雙11活動來啦,限時優惠!2023-10-25
- 注冊結構工程師考試大綱下載2023-05-16
- 2023年一級注冊結構工程師考試大綱內容2023-04-14
- 2023年結構工程師教材內容變動對比2023-04-10