注冊結構工程師輔導:水力最優斷面
更新時間:2010-07-26 09:10:20
來源:|0
瀏覽
收藏
結構工程師報名、考試、查分時間 免費短信提醒
三、水力最優斷面
根據式(6-6-6)有
![]()
通常底坡i由地形條件確定,粗糙系數n由渠道表面材料性質決定。于是在渠道過水斷面A一定時(斷面大小決定了工程量的大小,A一定表示工程量一定),要使流量Q最大,就必須使水力半徑R最大。水力半徑R為過水斷面面積A和濕周χ的比值。A既一定,就必須使濕周χ為最小,才能得到最大的流量。這種濕周最小的斷面,就稱為水力最優斷面。如果流量一定,則采用水力最優斷面可使過水斷面面積最小。
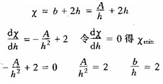
當采用矩形斷面時,若已知過水斷面面積為A,則

所以水力最優斷面b/h=2
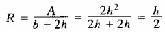
此時,
![]()
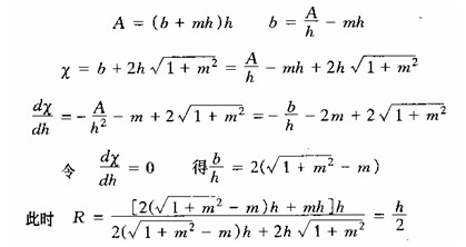
當采用梯形斷面時,若已知過水斷面面積A,邊坡系數m,則由

要說明的是,水力最優斷面只是從水力條件來考慮。而實際工程中還需綜合考慮施工、運轉、養護等因素選擇最經濟合理的斷面。
2010年注冊結構工程師考試報名時間信息匯總
結構工程師基礎科目(一)考試普通化學練習題匯總
2010年結構師考試9月18、19日
更多信息請訪問:結構工程師頻道 結構工程師論壇
編輯推薦
最新資訊
- 2025年一級注冊結構工程師考前實戰試題解析:突破考試瓶頸的終極指南‌2025-10-13
- 2025年一級注冊結構工程師常考知識點2025-02-17
- 2025年二級注冊結構工程師高頻知識點2025-02-17
- 2024年度二級注冊結構工程師專業考試資料:規范、標準、規程2024-08-13
- 2024年度一級注冊結構工程師專業考試資料:規范、標準、規程2024-08-13
- 環球網校雙11預售開啟!定金百倍膨脹,直播再返現金2023-10-25
- 環球網校結構工程師雙11活動來啦,限時優惠!2023-10-25
- 注冊結構工程師考試大綱下載2023-05-16
- 2023年一級注冊結構工程師考試大綱內容2023-04-14
- 2023年結構工程師教材內容變動對比2023-04-10