注冊結構工程師輔導:動量方程的應用
更新時間:2010-07-21 10:01:31
來源:|0
瀏覽
收藏
結構工程師報名、考試、查分時間 免費短信提醒
(二)動量方程的應用
研究流體作用于水平彎管的力為例,并加以說明。
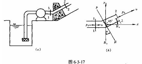
[例6-3-3] 如圖6-3—17(a)所示,為一連接水泵出口的壓力水管,直徑d=500mm,彎管與水平的夾角45°,水流流過彎管時有一水平推力,為了防止彎管發生位移,筑一混凝土鎮墩使管道固定。若通過管道的流量0.5m3/s,斷面1-1和2-2中心點的壓力p1相對=108000N/┫,p2相對=105000N/┫。試求作用在鎮墩上的力。

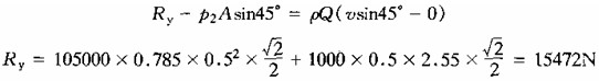
[解] 如圖6—3—17(b)所示,取彎管前后斷面1—1和2-2流體為分離體,現分析分離體上外力和動量變化。
設管壁對流體的作用力R,動量方程在x軸的投影為:
![]()
則

動量方程在x軸的投影為:

鎮墩對流體作用力的合力R的大小及方向為:

流體對鎮墩的作用力P與R的大小相等方向相反。
通過上例分析可知,應用動量方程解決問題的方法是:選好分離體;全面分析外力;
注意列出動量投影方程,其中作用力的投影和流速的投影選取正負號:凡是與選定坐標方向相同者為正,相反為負;最后加以計算并注意所求力的大小和方向,作用在斷面上的壓力(相對或絕對)應統一。
2010年注冊結構工程師考試報名時間信息匯總
結構工程師基礎科目(一)考試普通化學練習題匯總
2010年結構師考試9月18、19日
更多信息請訪問:結構工程師頻道 結構工程師論壇
編輯推薦
上一篇:注冊結構工程師輔導:動量方程
最新資訊
- 2025年一級注冊結構工程師考前實戰試題解析:突破考試瓶頸的終極指南‌2025-10-13
- 2025年一級注冊結構工程師常考知識點2025-02-17
- 2025年二級注冊結構工程師高頻知識點2025-02-17
- 2024年度二級注冊結構工程師專業考試資料:規范、標準、規程2024-08-13
- 2024年度一級注冊結構工程師專業考試資料:規范、標準、規程2024-08-13
- 環球網校雙11預售開啟!定金百倍膨脹,直播再返現金2023-10-25
- 環球網校結構工程師雙11活動來啦,限時優惠!2023-10-25
- 注冊結構工程師考試大綱下載2023-05-16
- 2023年一級注冊結構工程師考試大綱內容2023-04-14
- 2023年結構工程師教材內容變動對比2023-04-10