注冊結構工程師輔導:文丘里流量計
更新時間:2010-07-21 09:10:09
來源:|0
瀏覽
收藏
結構工程師報名、考試、查分時間 免費短信提醒
2.文丘里流量計

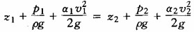
文丘里流量計是用來測量管道流量的,它的形狀如圖6—3-14所示。使用時,將它連接在管道上,在流量計上游進口斷面1—1和在收縮管中的漸變流斷面2—2處各接測壓管。利用兩測壓管的差值,根據能量方程可算出管中流速和流量。任選一基準面O—O,寫出斷面1—1和2—2的能量方程(不計水頭損失):
![]()
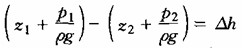
取α1=α2=0,并將上式整理而得:

又
![]()
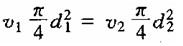
及連續性方程
![]()
既

代入上式后得

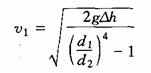
所以

流量

式中

K是一個只和dl、d2及重力加速度z有關的固定常數。式(6—3—12)中沒有計及水頭損失。實際流體中存在水頭損失,因而實際通過的流量必小于理論流量。為修正這一誤差,可用文丘里流量系數μ值加以修正。根據實驗,它的值在0.95—0.98之間,則
![]()
對于不同直徑的文丘里流量計,K和μ值是預先求得的,因而只需在測壓計上讀出△h就可求出管道中通過的流量。
如果U形壓差計中裝有水銀,則水的流量為

2010年注冊結構工程師考試報名時間信息匯總
結構工程師基礎科目(一)考試普通化學練習題匯總
2010年結構師考試9月18、19日
更多信息請訪問:結構工程師頻道 結構工程師論壇
編輯推薦
上一篇:注冊結構工程師輔導:畢托管
最新資訊
- 2025年一級注冊結構工程師考前實戰試題解析:突破考試瓶頸的終極指南‌2025-10-13
- 2025年一級注冊結構工程師常考知識點2025-02-17
- 2025年二級注冊結構工程師高頻知識點2025-02-17
- 2024年度二級注冊結構工程師專業考試資料:規范、標準、規程2024-08-13
- 2024年度一級注冊結構工程師專業考試資料:規范、標準、規程2024-08-13
- 環球網校雙11預售開啟!定金百倍膨脹,直播再返現金2023-10-25
- 環球網校結構工程師雙11活動來啦,限時優惠!2023-10-25
- 注冊結構工程師考試大綱下載2023-05-16
- 2023年一級注冊結構工程師考試大綱內容2023-04-14
- 2023年結構工程師教材內容變動對比2023-04-10