注冊結構工程師:漸變流斷面上的壓強分布
(二)漸變流斷面上的壓強分布
為將元流的能量方程推廣到總流,必須引入關于漸變流的概念。在前面二流體運動的分類一段中已介紹:均勻流是同一流線上各質點的流速大小和方向相同,因此不存在慣性力,同一斷面各點間的壓差主要由重力引起,所以同一斷面上的動壓強分布規律和靜壓強分布規律相同
即

式中 下標A、B用以區別同一斷面上不同點的相應量如圖6-3-6所示。


在漸變流斷面n—n上取任意長度為l,斷面面積為dA的微小柱體(圖6—3—7),分析作用于柱體上的力在n方向的分力。柱體上、下兩斷面距基準面O-O的高程分別z1和z2,壓強p1和p2,柱體重力在n-n方向的分力Gcosα=ρgldAcosα;作用在柱體兩端面的壓力pldA和p2dA,柱側面壓力垂直于n-n軸,在n-n軸上的投影為零;其黏性力可忽略不計,由此可得:
![]()
由于
![]()
則
![]()
即漸變流中同一邊流斷面上的壓強按靜壓強的規律分布。
總流的能量方程—伯努利方程

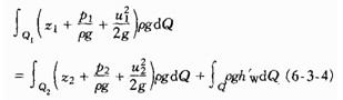
在圖6-3-8的總流中,選取兩個漸變流斷面1-1和斷面2-2。總流的能量方程是流能量方程式(6-3-3)在兩斷面范圍內的積分:

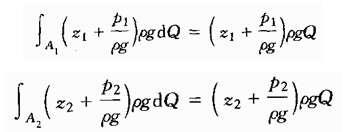
由于斷面處在漸變流段,z+p/ρg在斷面上保持不變,可以提到積分符號外,則兩斷面的勢能積分則可寫

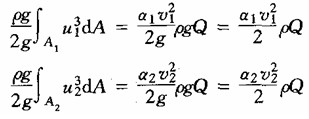
按工程實用的方便需將第三項用斷面平均流速來表示。同時考慮實際流體的流速不均勻性,還應增加流速的不均勻系數。值或稱動能修正系數。它反映斷面上流速分布不均勻程度。通常取α=1.05—1.1,在多數的實際工程的計算中可取α=1.0已能滿足精度的要求,于是兩斷面動能可寫成:

式中 α1,α2為斷面1-1和斷面2-2的動能修正系數。
總流中各元流能量損失也是沿斷面變化的。為了計算方便,設hw為平均單位能量損失。則
![]()
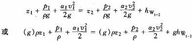
現將以上各式各項積分值代入原積分式(6-3-4)中,各項除以ρgQ,得出單位重量的能量方程:

這就是重力作用下恒定總流能量方程式或稱恒定總流伯努利方程式。
總流能量方程式每一項的能量意義同元流能量方程式相類似。z+p/ρg上表示斷面上單位重量流體所具有的勢能,av2/2g表示斷面上單位重量流體所具有的平均動能,hw1-2表示兩斷面之間單位重量流體的水頭損失。關于能量的幾何意義可用圖6-3-9表示。能量方程式的各項在工程上習慣用水頭來表示。因z稱位置水頭;p/ρg上稱壓強水頭,所以 v2/2g稱流速水頭,三水頭之和稱總水頭。在理想流體中總水頭線應該是水平線,但在實際流體中有能量損失,因此總水頭線總是沿著流體流動方向下降的。如果用H=z+p/ρg+av2/2g表示斷面的總水頭,其中z+p/ρg稱測壓管水頭,則總水頭線沿流程下降的坡度稱水力坡度,用J表示,即

式中,l是沿流程的長度,并規定:總水頭線沿流程下降時,水力坡度為正值。總水頭總是沿流程減小的,即等恒為負值,而水力坡度總是取正值,所以上式右端需加一負號。
由于勢能和動能可以互相轉化,其測壓管水頭線的坡度的正負說明測壓管水頭線沿流程是上升還是下降。
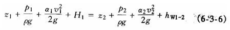
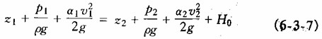
能量方程的應用條件:(1)流動必須是恒定流;(2)流體是不可壓縮的;(3)流體受重力作用;(4)所選取的兩個計算用的過流斷面,必須符合均勻漸變流條件(兩計算斷面之間的流體可以不是漸變流,見圖6-3-8);(5)兩斷面間沒有流量和能量輸入或輸出。如果有能量的輸出(如中間有水輪機或汽輪機)或輸入(如中問有水泵或風機),則可以將輸入的單位能量項Hl加在式(6-3-5)的左方:

或將輸出的單位能量項H0加在式(6-3-5)的右方:

總流的能量方程在應用時需要遵循上述應用條件,另一方面還要靈活掌握。

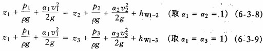
例如推廣到管路分流如圖6-3—10所示。流體從總管分送到兩個支管即分成兩股流體。圖中ABC為兩股流體的分界面。這兩股流體均有一定有的大小,對每一股流體均可應用總流的能量方程。當斷面I-1、2-2、3-3處于漸變流時,就可以分別列斷面1—1和2 2的能量方程及斷面l一1和3—3的能量方程。由于兩股流體的流動情境不同,兩者的水頭損失不同。具體可寫成:

2010年注冊結構工程師考試報名時間信息匯總
結構工程師基礎科目(一)考試普通化學練習題匯總
2010年結構師考試9月18、19日
更多信息請訪問:結構工程師頻道 結構工程師論壇
最新資訊
- 2025年一級注冊結構工程師考前實戰試題解析:突破考試瓶頸的終極指南‌2025-10-13
- 2025年一級注冊結構工程師常考知識點2025-02-17
- 2025年二級注冊結構工程師高頻知識點2025-02-17
- 2024年度二級注冊結構工程師專業考試資料:規范、標準、規程2024-08-13
- 2024年度一級注冊結構工程師專業考試資料:規范、標準、規程2024-08-13
- 環球網校雙11預售開啟!定金百倍膨脹,直播再返現金2023-10-25
- 環球網校結構工程師雙11活動來啦,限時優惠!2023-10-25
- 注冊結構工程師考試大綱下載2023-05-16
- 2023年一級注冊結構工程師考試大綱內容2023-04-14
- 2023年結構工程師教材內容變動對比2023-04-10