注冊結構工程師:元流能量方程
四、恒定總流能量方程
(一)元流能量方程
連續性方程屬于運動學的范疇,它只給出沿流斷面的流速變化規律,完全沒有涉及流體受力的情況。下面從功能原理著手推導出元流能量方程,然后推廣到總流。功能原理是外力對物體所作的功等于物體機械能(位能和動能)的變化。

在流場中選取一元流,如圖6-3-5所示。在元流上取斷面1-1和斷面2-2,兩斷面的高程和面積分別為z1、z2和dA1、dA2。兩斷面的流速和壓強分別為u1、u2和p1、p2。以兩斷面間的元流段為研究對象,在dt時間內由原來的1122位置移動到1'1'2'2'位置,斷面1—1和斷面2-2分別移動了uldt和u2dt的距離。
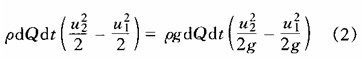
在斷面1—1所受壓力pldAl,所作正功pldAluldt,斷面2-2所受壓力p2dA2,它與流動方向相反所作的功是負的,等于—p2dA2u2dt。元流側面所受的壓力和元流流向垂直,沒有作功。而沿元流側表面還有和流體方向相反的內摩擦阻力作了負功—dHw,因此外力作功為
![]()
經過dt時間后從位置1122變化到1'1'2'2'位置,在恒定流的條件下1'1'2'2'這段中的流體的能量沒有發生變化,所以dt時間內流體能量的變化,也就是新位置2—2'的能量和原位置1—1'的能量兩者之差值。
由于流體不可壓縮、新舊的位置1—1'、2—2'所占據的體積等于dQdt,質量等于ρdQdt。根據物理學中的公式,動能0.5mu2,位能mgz,所以動能增值為:

位能的增值為
![]()
按功能原理(1)=(2)+(3),可得:

等式各項除以ρgdQdt,并設

整理后得:

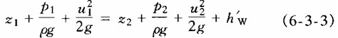
這就是不可壓縮流體元流能量方程或稱伯努利方程。它反映了恒定流中沿流各點位置高度z,壓強p和流速u之間的變化規律。
式(6-3-3)說明元流從一個斷面流到另一斷面的過程中,各項能量(位能,壓能,動能)在一定的條件下是可以互相轉化的。但是前一個斷面的單位機械能應等于后一個斷面的單位總機械能與兩斷面之間水頭損失之和。此方程是能量守恒在流體力學中的特殊表達形式。
2010年注冊結構工程師考試報名時間信息匯總
結構工程師基礎科目(一)考試普通化學練習題匯總
2010年結構師考試9月18、19日
更多信息請訪問:結構工程師頻道 結構工程師論壇
最新資訊
- 2025年一級注冊結構工程師考前實戰試題解析:突破考試瓶頸的終極指南‌2025-10-13
- 2025年一級注冊結構工程師常考知識點2025-02-17
- 2025年二級注冊結構工程師高頻知識點2025-02-17
- 2024年度二級注冊結構工程師專業考試資料:規范、標準、規程2024-08-13
- 2024年度一級注冊結構工程師專業考試資料:規范、標準、規程2024-08-13
- 環球網校雙11預售開啟!定金百倍膨脹,直播再返現金2023-10-25
- 環球網校結構工程師雙11活動來啦,限時優惠!2023-10-25
- 注冊結構工程師考試大綱下載2023-05-16
- 2023年一級注冊結構工程師考試大綱內容2023-04-14
- 2023年結構工程師教材內容變動對比2023-04-10