注冊結構工程師:作用在平面上的流體靜壓力(2)
(二)解析法

解析法就是根據力學的原理,運用數學分析的方法來求平面壁靜水總壓力的計算公式。
設有一與水平面成夾角α的傾斜平面AB,如圖6—2—12所示,斜面AB左側承受水壓力、水面大氣壓強為pa,把平面繞Oy軸轉90°,受壓平面圖形就在xy面上清楚地表現出來?,F對xy坐標分析受力問題。設在受壓平面上任取一微小面積dA,其中心點在液面下的深度h,則作用在微小面積的靜水壓力為dp=P·dA=ghdA整個受壓面作用著一系列的同向平行力,根據平行力系之和的原理,將各微小壓力dp沿受壓面進行積分,得作用在受壓平面的靜壓力
![]()
既
![]()
靜水壓力的作用點(也稱壓力中心)由于壓強與水深呈直線變化,深度較大的地方壓強較大,所以壓力中心D在y軸的位置必然低于形心C。D點的位置可以利用各微小面積dA上的靜壓力dP對x軸的力矩等于整個受壓面上的靜壓力戶對x軸力矩(力矩定理)求得。
微小壓力dP對x軸的力矩為:
![]()
各微小力矩的總和為:
![]()
靜壓力P對x軸的力矩
![]()
由于合力對某軸之矩等于各分力對同軸力矩之和。
因此
![]()
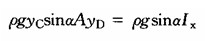
根據材料力學中軸的平移原理可得:
![]()
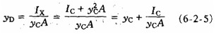
于是得求壓力中心的基本公式

式中 YD-壓力中心沿y軸方向至液面交線的距離;
YC-受壓面形心沿y軸方向至液面交線的距離;:
IC—受壓面繞通過形心且平行于液面交線軸的慣性矩。
由于IC/yCA總是正值;故YD>YC,說明壓力中心D點總是在形心C的下面。
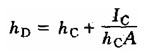
當平面壁是鉛直平面時;其作用點公式為

式中 hD是壓力中心至液面的距離
2010年注冊結構工程師考試報名時間信息匯總
結構工程師基礎科目(一)考試普通化學練習題匯總
2010年結構師考試9月18、19日
更多信息請訪問:結構工程師頻道 結構工程師論壇
最新資訊
- 2025年一級注冊結構工程師考前實戰試題解析:突破考試瓶頸的終極指南‌2025-10-13
- 2025年一級注冊結構工程師常考知識點2025-02-17
- 2025年二級注冊結構工程師高頻知識點2025-02-17
- 2024年度二級注冊結構工程師專業考試資料:規范、標準、規程2024-08-13
- 2024年度一級注冊結構工程師專業考試資料:規范、標準、規程2024-08-13
- 環球網校雙11預售開啟!定金百倍膨脹,直播再返現金2023-10-25
- 環球網校結構工程師雙11活動來啦,限時優惠!2023-10-25
- 注冊結構工程師考試大綱下載2023-05-16
- 2023年一級注冊結構工程師考試大綱內容2023-04-14
- 2023年結構工程師教材內容變動對比2023-04-10