注冊結構工程師:壓強的測量(2)
更新時間:2010-07-19 09:20:11
來源:|0
瀏覽
收藏
結構工程師報名、考試、查分時間 免費短信提醒
3.水銀壓差計
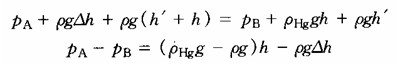
在工程中,有時要測量兩點或兩根自來水管的壓強差,可采用如圖6-2—8所示水銀壓 差計。將兩端分別連接到點A、B處,從圖上可知C、D兩點在同一等壓面上pC=pD,
即

若兩水管為同一平面時(Δh=0),則其壓差PA—pB=(ρHg-ρ)gh或

4.金屬壓力表及真空表

量測較大壓強,可用壓力表,其優點是結構簡單、安全可靠。通常金屬壓強表內裝有一根一端開口,一端封閉的銅制彈簧彎管,如圖6-2-9所示,開口端通過短管和被測定壓強的液體相通,封閉端可自由伸縮、并以齒輪與指針相連;施測時,彈簧彎管在液體壓力的作用下,截面變形,促使管封閉端張開伸直、帶動齒輪,轉動指針,把液體的相對壓強在表面讀數盤上指示出來。
真空表的構造與壓力表類似,當被測壓強小于大氣壓壓強時即出現負壓強,使彈簧管彎縮,轉動指針,指示負壓或真空值。
2010年注冊結構工程師考試報名時間信息匯總
結構工程師基礎科目(一)考試普通化學練習題匯總
2010年結構師考試9月18、19日
更多信息請訪問:結構工程師頻道 結構工程師論壇
編輯推薦
上一篇:注冊結構工程師:壓強的測量(1)
最新資訊
- 2025年一級注冊結構工程師考前實戰試題解析:突破考試瓶頸的終極指南‌2025-10-13
- 2025年一級注冊結構工程師常考知識點2025-02-17
- 2025年二級注冊結構工程師高頻知識點2025-02-17
- 2024年度二級注冊結構工程師專業考試資料:規范、標準、規程2024-08-13
- 2024年度一級注冊結構工程師專業考試資料:規范、標準、規程2024-08-13
- 環球網校雙11預售開啟!定金百倍膨脹,直播再返現金2023-10-25
- 環球網校結構工程師雙11活動來啦,限時優惠!2023-10-25
- 注冊結構工程師考試大綱下載2023-05-16
- 2023年一級注冊結構工程師考試大綱內容2023-04-14
- 2023年結構工程師教材內容變動對比2023-04-10