注冊結構工程師輔導:壓縮性
更新時間:2010-07-16 09:22:22
來源:|0
瀏覽
收藏
結構工程師報名、考試、查分時間 免費短信提醒
四、壓縮性
流體的壓縮性指流體體積隨壓強而變的特性。壓強增大,流體體積減小。通常以壓縮性系數β來表示液體的可壓縮性。

式中 dV/V—體積的相對減小量;
dp—壓強的增量。
由于壓強增大時體積減小,dV與dp異號,所以在上式中加一負號。由于質量為密度和體積的乘積,β也可表示為密度的關系

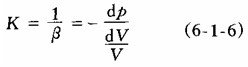
體積彈性系數K為β的倒數

β的單位為┫/N,K的單位為N/┫。對于不同的液體,β或K值不同;同一種液體,不同溫度和壓強下,β或K值也不同。水的K值很大,常溫下近似為2.1×109pa(帕)。也就是說,當壓強增加一個大氣壓時,水的體積只縮小萬分之零點五左右,其他液體的K值也很大。所以一般情況下可以不考慮液體的壓縮性,認為液體的密度為常數。
對于氣體,其密度與壓強變化和溫度變化密切聯系,可以根據氣體狀態方程p/ρ=RT來說明它的變化。如溫度不變,氣體壓強由1個大氣壓增加到1.1個大氣壓時,密度相對增加為0.1,所以氣體的壓縮性是比較大的,一般都應加以考慮。但在某些情況下,壓強變化不是很大而流體的速度也不很大(如小于50m/s)時,也可以近似認為氣體的密度是常數,在本章中都沒有考慮氣體的壓縮性。此外,在本章中有時還提到理想流體的概念。
理想流體是指沒有黏性的流體,即μ=0。而實際流體如水和空氣都是有黏性的。理想流體不過是在理論分析中引入的一個力學模型。這樣,可以使問題大大簡化,而對其中的黏性可以在得出結論后再考慮加以修正。
2010年注冊結構工程師考試報名時間信息匯總
結構工程師基礎科目(一)考試普通化學練習題匯總
2010年結構師考試9月18、19日
更多信息請訪問:結構工程師頻道 結構工程師論壇
編輯推薦
上一篇:注冊結構工程師輔導:黏性
最新資訊
- 2025年一級注冊結構工程師考前實戰試題解析:突破考試瓶頸的終極指南‌2025-10-13
- 2025年一級注冊結構工程師常考知識點2025-02-17
- 2025年二級注冊結構工程師高頻知識點2025-02-17
- 2024年度二級注冊結構工程師專業考試資料:規范、標準、規程2024-08-13
- 2024年度一級注冊結構工程師專業考試資料:規范、標準、規程2024-08-13
- 環球網校雙11預售開啟!定金百倍膨脹,直播再返現金2023-10-25
- 環球網校結構工程師雙11活動來啦,限時優惠!2023-10-25
- 注冊結構工程師考試大綱下載2023-05-16
- 2023年一級注冊結構工程師考試大綱內容2023-04-14
- 2023年結構工程師教材內容變動對比2023-04-10