注冊結構工程師輔導:理想氣體狀態方程
更新時間:2010-07-05 13:41:18
來源:|0
瀏覽
收藏
結構工程師報名、考試、查分時間 免費短信提醒
(一)理想氣體狀態方程
質量一定的理想氣體處于平衡態時的狀態參量P、V、T之間的關系稱為理想氣體狀態方程。
理想氣體狀態方程
1. 一定質量的理想氣體從狀態I(P1,V1,T1)變化到狀態II(P2,V2,T2)時,兩狀態的狀態參量之間的關系為:
=恒量 (2-1-1)
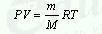
2. 理想氣體的質量為m,摩爾質量為M,同一狀態個狀態參量之間的關系為
(2-1-2)
式中
稱為普適氣體常數。
3. 理想氣體狀態方程也可以寫成
(2-1-3)
,稱為氣體分子數密度。
=1.38×10-23J.K稱為玻耳茲曼常數。NA為一摩爾氣體的分子數(阿伏伽德羅常數)NA=6.022×10-23mol-1
2010年注冊結構工程師考試報名時間信息匯總
結構工程師基礎科目(一)考試普通化學練習題匯總
2010年結構師考試9月18、19日
更多信息請訪問:結構工程師頻道 結構工程師論壇
編輯推薦
最新資訊
- 2025年一級注冊結構工程師考前實戰試題解析:突破考試瓶頸的終極指南‌2025-10-13
- 2025年一級注冊結構工程師常考知識點2025-02-17
- 2025年二級注冊結構工程師高頻知識點2025-02-17
- 2024年度二級注冊結構工程師專業考試資料:規范、標準、規程2024-08-13
- 2024年度一級注冊結構工程師專業考試資料:規范、標準、規程2024-08-13
- 環球網校雙11預售開啟!定金百倍膨脹,直播再返現金2023-10-25
- 環球網校結構工程師雙11活動來啦,限時優惠!2023-10-25
- 注冊結構工程師考試大綱下載2023-05-16
- 2023年一級注冊結構工程師考試大綱內容2023-04-14
- 2023年結構工程師教材內容變動對比2023-04-10