注冊結構工程師輔導資料:歐拉公式適用范圍
更新時間:2010-07-01 09:52:54
來源:|0
瀏覽
收藏
結構工程師報名、考試、查分時間 免費短信提醒
一、 歐拉公式適用范圍
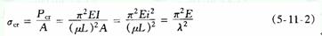
(一)臨界應力
在臨界應力作用下,壓桿橫截面上的應力
![]()
式中
——截面的慣性半徑;
——柔度或長細比。
綜合反映了桿端約束、桿的長度、截面形狀和尺寸等因素對臨界應力的影響,λ是一個無量綱量。
壓桿柔度越大,臨界應力就越小,壓桿就越容易失穩。若壓桿在兩個形心主慣性平面內的柔度不同,則壓桿總是在柔度較大的那個形心主慣性平面內失穩。
(二)歐拉公式的適用范圍
歐拉公式是根據桿件彎曲變形的近似撓曲線微分方程式導出的,僅適用于小變形、線彈性范圍的壓桿,即臨界應力σcr應小于材料的比例極限σp
![]()
用柔度表示
![]()
λp是壓桿能夠應用歐拉公式的最小柔度,其值取決于壓桿材料的彈性模量E和比例極限σp。例如,對于(Q235)鋼,E=2.06×105MPa,σp=200MPa。
則
![]()
用Q235鋼制成的壓桿,只有當λ≥100時,才可以使用歐拉公式。
2010年注冊結構工程師考試報名時間信息匯總
結構工程師基礎科目(一)考試普通化學練習題匯總
2010年結構師考試9月18、19日
更多信息請訪問:結構工程師頻道 結構工程師論壇
編輯推薦
最新資訊
- 2025年一級注冊結構工程師考前實戰試題解析:突破考試瓶頸的終極指南‌2025-10-13
- 2025年一級注冊結構工程師常考知識點2025-02-17
- 2025年二級注冊結構工程師高頻知識點2025-02-17
- 2024年度二級注冊結構工程師專業考試資料:規范、標準、規程2024-08-13
- 2024年度一級注冊結構工程師專業考試資料:規范、標準、規程2024-08-13
- 環球網校雙11預售開啟!定金百倍膨脹,直播再返現金2023-10-25
- 環球網校結構工程師雙11活動來啦,限時優惠!2023-10-25
- 注冊結構工程師考試大綱下載2023-05-16
- 2023年一級注冊結構工程師考試大綱內容2023-04-14
- 2023年結構工程師教材內容變動對比2023-04-10