結構工程師輔導資料:扭轉和彎曲的組合
更新時間:2010-07-01 09:27:40
來源:|0
瀏覽
收藏
結構工程師報名、考試、查分時間 免費短信提醒
一、 扭轉和彎曲的組合

當構件同時承受扭轉力偶和橫向力作用時,將產生扭轉和彎曲兩種基本變形。
(一)應力計算
若某一截面上內力分量有扭矩MT, 以及兩相互垂直平面內的彎矩My、和
Mz,剪力Vy、Vz通常略去不計。則該 截面上任一點(y,z)處的應力分量有扭轉剪應力τ,及彎曲正應力σ。若構件的橫截面為圓形或空心圓截面。由于過圓形或空心圓截面形心的任一軸均為形心主慣性軸,故可先計算合成彎矩
![]()
然后,再按平面彎曲,計算正應力。
![]()
(二)強度條件
危險點及其應力狀態
危險點位于合成彎矩作用平面與橫截面相交的截面周邊處。其應力狀態為平面應力狀態。

強度條件
對于塑性材料,選用第三或第四強度理論,其強度條件分別為

式中
![]()
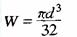
抗彎截面系數
![]()
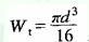
抗扭截面系數
![]()
2010年注冊結構工程師考試報名時間信息匯總
結構工程師基礎科目(一)考試普通化學練習題匯總
2010年結構師考試9月18、19日
更多信息請訪問:結構工程師頻道 結構工程師論壇
編輯推薦
最新資訊
- 2025年一級注冊結構工程師考前實戰試題解析:突破考試瓶頸的終極指南‌2025-10-13
- 2025年一級注冊結構工程師常考知識點2025-02-17
- 2025年二級注冊結構工程師高頻知識點2025-02-17
- 2024年度二級注冊結構工程師專業考試資料:規范、標準、規程2024-08-13
- 2024年度一級注冊結構工程師專業考試資料:規范、標準、規程2024-08-13
- 環球網校雙11預售開啟!定金百倍膨脹,直播再返現金2023-10-25
- 環球網校結構工程師雙11活動來啦,限時優惠!2023-10-25
- 注冊結構工程師考試大綱下載2023-05-16
- 2023年一級注冊結構工程師考試大綱內容2023-04-14
- 2023年結構工程師教材內容變動對比2023-04-10