結構工程師輔導資料:強度理論
一、 強度理論
(一)強度理論的概念 ;
1.材料破壞的兩種類型
材料破壞型式不僅與材料本身的材質有關,而且與材料所處的應力狀態、加載速度溫度環境等因素有關。材料在常溫、靜載荷下的破壞型式主要有以下兩種:
脆性斷裂 材料在無明顯的變形下突然斷裂。
塑性屈服(流動) 材料出現顯著的塑性變形而喪失其正常的工作能力。
2.強度理論 。
在復雜應力狀態下關于材料破壞原因的假設,稱為強度理論。
研究強度理論的目的,在于利用簡單應力狀態下的實驗結果,來建立材料在復雜應力狀態下的強度條件。
(二)四個常用的強度理論
四個常用強度理論的強度條件可以統一地寫成

式中 σr稱為相當應力,其表達式為
最大拉應力理論 σr1=σ1
(第一強度理論)
最大拉應變理論σr2=σ1-ν(σ1+σ2)
(第二強度理論)
最大剪應力理論σr3=σ1-σ3
(第三強度理論)
形狀改變比能理論
(第四強度理論)
![]()
[σ]為材料的許用應力。

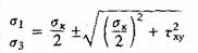
對于工程上常見的一種二向應力狀態如圖5—9—3所示,其特點是平面內某一方向的正應力為零。設σy=0,則該點的主應力為
![]()
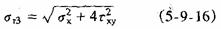
代入(5—9-15)式得:
第三強度理論(最大剪應力理論)的相當應力為
![]()
第四強度理論(形狀改變比能理論)的相當應力為
![]()
最大拉應力理論、最大拉應變理論是關于脆性斷裂的強度理論;最大剪應力理論、形
狀改變比能理論是關于塑性屈服的強度理論。
強度理論的選用
在三向拉應力作用下,材料均產生脆性斷裂,故宜用第一強度理論;而在三向壓縮應力狀態下,材料均產生屈服破壞,故應采用第三或第四強度理論。當材料處于二向應力狀態作用下時:
脆性材料易發生斷裂破壞,宜用第一或第二強度理論;
塑性材料易發生塑性屈服破壞,宜用第三或第四強度理論。
2010年注冊結構工程師考試報名時間信息匯總
結構工程師基礎科目(一)考試普通化學練習題匯總
2010年結構師考試9月18、19日
更多信息請訪問:結構工程師頻道 結構工程師論壇
最新資訊
- 2025年一級注冊結構工程師考前實戰試題解析:突破考試瓶頸的終極指南‌2025-10-13
- 2025年一級注冊結構工程師常考知識點2025-02-17
- 2025年二級注冊結構工程師高頻知識點2025-02-17
- 2024年度二級注冊結構工程師專業考試資料:規范、標準、規程2024-08-13
- 2024年度一級注冊結構工程師專業考試資料:規范、標準、規程2024-08-13
- 環球網校雙11預售開啟!定金百倍膨脹,直播再返現金2023-10-25
- 環球網校結構工程師雙11活動來啦,限時優惠!2023-10-25
- 注冊結構工程師考試大綱下載2023-05-16
- 2023年一級注冊結構工程師考試大綱內容2023-04-14
- 2023年結構工程師教材內容變動對比2023-04-10