結構工程師:平面彎曲桿件橫截面上的正應力
更新時間:2010-06-28 09:42:24
來源:|0
瀏覽
收藏
結構工程師報名、考試、查分時間 免費短信提醒
平面彎曲桿件橫截面上的正應力
分布規律 正應力的大小與該點至中性軸的垂直距離成正比,中性軸一側為拉應力, 另一側為壓應力,如圖5—7—1(a)。


計算公式
任一點應力
![]()
最大應力
![]()
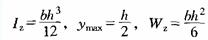
式中 M為所求截面的彎矩,Iz為截面對中性軸的慣性矩,Wz為抗彎截面系數。 Wz是一個只與橫截面的形狀及尺寸有關的幾何量。對于矩形截面:
![]()
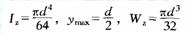
對于圓形截面:
![]()
其余Wz按式Wz=Iz/ymax計算。
討論:1,公式適用于線彈性范圍、且材料在拉伸和壓縮時彈性模量相等情況。
2.在純彎曲時,橫截面在彎曲變形后保持平面,公式為 精確解;橫力彎曲時,由于剪應力的存在,橫截面發生翹曲,但精確研究指出,工程實際中的梁,只要跨度與截面高度之比L/h>5,純彎曲時的正應力公式仍適用。
(四)梁的正應力強度條件
強度條件 梁的最大工作正應力不得超過材料的許用正應力,即
![]()
注意,當梁內σtmax≠σcmax,且材料的[σt]≠[σc]時,梁的拉伸與壓縮強度均應得到滿足。
2010年注冊結構工程師考試報名時間信息匯總
結構工程師基礎科目(一)考試普通化學練習題匯總
2010年結構師考試9月18、19日
更多信息請訪問:結構工程師頻道 結構工程師論壇
編輯推薦
最新資訊
- 2025年一級注冊結構工程師考前實戰試題解析:突破考試瓶頸的終極指南‌2025-10-13
- 2025年一級注冊結構工程師常考知識點2025-02-17
- 2025年二級注冊結構工程師高頻知識點2025-02-17
- 2024年度二級注冊結構工程師專業考試資料:規范、標準、規程2024-08-13
- 2024年度一級注冊結構工程師專業考試資料:規范、標準、規程2024-08-13
- 環球網校雙11預售開啟!定金百倍膨脹,直播再返現金2023-10-25
- 環球網校結構工程師雙11活動來啦,限時優惠!2023-10-25
- 注冊結構工程師考試大綱下載2023-05-16
- 2023年一級注冊結構工程師考試大綱內容2023-04-14
- 2023年結構工程師教材內容變動對比2023-04-10