結構工程師備考:軸向拉伸(壓縮)桿橫截面上的內力
二、 軸向拉伸(壓縮)桿橫截面上的內力
(一) 內力
由外力作用而引起的構件內部各部分之間的相互作用力
(二)截面法
截面法是求內力的一般方法。用截面法求內力的步驟為
1.截開 在需求內力的截面處,假想地沿該截面將構件截分為二。
2.代替 任取一部分為研究對象,稱為脫離體。用內力代替棄去部分對脫離體的作用。
3.平衡 對脫離體列寫平衡條件,求解未知內力。截面法的圖示如圖5-2-2。

(三)軸力
軸向拉壓桿橫截面上的內力,其作用線必定與桿軸線相重合,稱為軸力。以N表示。軸力N規定以拉力為正,壓力為負。
(四)軸力圖
表示沿桿件軸線各橫截面上軸力變化規律的圖線。
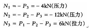
[例5-2-1] 畫出圖5-2-3中直桿的軸力圖。

[解] 用截面1—1、2-2、3-3將桿截開,取脫離體如圖所示。各截面的軸力N1、N2、N3均假定為拉力。由靜力平衡方程∑X=0分別求得:

其中負號表示軸力為壓力。
取坐標系NOx,x軸平行桿軸線,根據各段軸力的大小和正負可繪出軸力圖如圖示。
分析與討論:
1.本例中若取截面左部分為脫離體時,則應先計算桿件的未知外力(包括支座反力)。
2.用截面法求軸力時,總是假設截面上的內力為正,這樣由平衡條件解得的內力的正負號,就是該截面上內力的實際的正負號。
3.作多個集中外力作用桿的軸力圖可采用簡易法,其原則是:在集中外力作用的截面上軸力圖有突變,突變大小等于集中力的大小,突變方向看集中力對后段桿的作用是拉或壓,拉者向上突變,壓者向下突變。
2010年注冊結構工程師考試報名時間信息匯總
結構工程師基礎科目(一)考試普通化學練習題匯總
2010年結構師考試9月18、19日
更多信息請訪問:結構工程師頻道 結構工程師論壇
最新資訊
- 2025年一級注冊結構工程師考前實戰試題解析:突破考試瓶頸的終極指南‌2025-10-13
- 2025年一級注冊結構工程師常考知識點2025-02-17
- 2025年二級注冊結構工程師高頻知識點2025-02-17
- 2024年度二級注冊結構工程師專業考試資料:規范、標準、規程2024-08-13
- 2024年度一級注冊結構工程師專業考試資料:規范、標準、規程2024-08-13
- 環球網校雙11預售開啟!定金百倍膨脹,直播再返現金2023-10-25
- 環球網校結構工程師雙11活動來啦,限時優惠!2023-10-25
- 注冊結構工程師考試大綱下載2023-05-16
- 2023年一級注冊結構工程師考試大綱內容2023-04-14
- 2023年結構工程師教材內容變動對比2023-04-10