2010年結構工程師備考:例題(15)方法二
[方法二] 解析法
(1)對象 取不包括液壓簡的系統為研究對象。
(2)受力分析 作用于系統上的主動力有w、P。
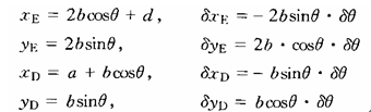
(3)選廣義坐標和坐標軸。本系統具有一個自由度,取角θ為廣義坐標,并選固定點O為原點建立直角坐標系Oxy,如圖4—3—46(b)所示。
(4)將各主動力作用點的坐標用廣義坐標θ表示,并對各坐標進行變分運算,找出各主動力作用點坐標變分與δθ間關系。
設BE=d,OC=a,則有

(5)將主動P、W在直角坐標軸上投影
![]()
(6)列直角坐標形式的虛位移原理求解

或

因為δθ≠0故得
![]()
即

可見,兩種方法求得的結果相同。
=============================64.1
[例4—3—17] 組合梁結構受荷載情況如圖4—3—47所示。已知P1=10kN,P2=15kN,M=40kN·m,q=1.6kN/m。試求固定端A的約束反力。
[解] 系統為靜定結構,沒有自由度,是不能動的。為了求約束反力,須將相應約束解除以相應約束反力代替,并視約束反力為主動力P。這樣,系統就有了自由度,允許有虛位移,即可根據虛位移原理求出相應的約束反力。
首先解除支座A的轉動約束,代以反力偶MA,將固端支座改為鉸支座。此時AB可繞A轉動,DC桿繞D轉動,BC桿作平面運動。
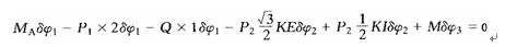
設AB桿有一虛位移δφ1,相應地CD桿有δφ3,BC桿的瞬心為I,虛位移為δφ2。于是得圖4-3-47(b)所示的虛位移圖。
根據虛位移原理有:

這里所計算的虛功,全用力矩之功來計算。為求MA需找出虛位移δφ2、δφ3與δφ1的關系。

其中用到幾個尺寸由幾何關系求得,即
KI=1.6,KE=1.2
將δφ2、δφ3代人方程,并注意到Q=2×q=3.2kN,可得

因為δφ1≠0,故得
![]()
其次,解除支座A的鉛垂約束,代以對應的鉛垂反力YA,并將該力視為主動力;將支座A改造如圖4—3—47(c)所示,此支座表示既不能水平移動,又不能轉動。
剛架原是靜定結構,當A處鉛垂約束去掉后,剛架具有一個自由度,允許有虛位移。
此時,AB桿可作平動,BC桿作平面運動、其瞬心與C重合,故CD桿不動。給A點一虛位移δrA,則δrB=δrA,由虛功方程
![]()
因δrA≠0,故得

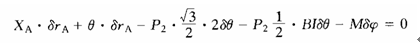
最后,解除支座A的水平約束,代以相對應的約束反力XA,并將該力視為主動力;將支座A改造為如圖4—3—43(d)所示,此支座表示既不能鉛垂移動,又不能轉動。
解除支座丑的水平約束后,系統有一個自由度。此時,AB桿可作平動,CD桿繞D轉動,BC桿作平面運動,其瞬心為I點,如圖4—3—47(d)所示。
給AB桿一虛位移δrA,相應地BC桿、CD桿分別有虛位移δθ和δφ。列出虛功方程

其中

![]()
因為δrA≠0,故得
XA=17.547kN
2010年注冊結構工程師考試報名時間信息匯總
結構工程師基礎科目(一)考試普通化學練習題匯總
2010年結構師考試9月18、19日
更多信息請訪問:結構工程師頻道 結構工程師論壇
最新資訊
- 2025年一級注冊結構工程師考前實戰試題解析:突破考試瓶頸的終極指南‌2025-10-13
- 2025年一級注冊結構工程師常考知識點2025-02-17
- 2025年二級注冊結構工程師高頻知識點2025-02-17
- 2024年度二級注冊結構工程師專業考試資料:規范、標準、規程2024-08-13
- 2024年度一級注冊結構工程師專業考試資料:規范、標準、規程2024-08-13
- 環球網校雙11預售開啟!定金百倍膨脹,直播再返現金2023-10-25
- 環球網校結構工程師雙11活動來啦,限時優惠!2023-10-25
- 注冊結構工程師考試大綱下載2023-05-16
- 2023年一級注冊結構工程師考試大綱內容2023-04-14
- 2023年結構工程師教材內容變動對比2023-04-10