結構工程師基礎科目一考試訪真試題1
1.下列關于計算機存儲器的敘述是錯誤的?$lesson$
A 任何計算機都必須要有內存儲器
B ROM、RAM都是內存儲器
C CD-ROM是外存儲器的一種
D CPU可以直接訪問硬盤
2.不允許出現無名公用區的程序塊是:
A 數據塊子程序
B 函數子程序
C 子例行程序
D 主程序
3.當a=4,執行完下列語句后,b的值為:
if(a.gt.3) then
if (a .eq. 3)b =3
b =2
else if (a. lt . 4) then
b = 1
if ( a .eq .4) b =4
endif
(A) 4 (B) 3 (C) 2 (D) 1
4.對于INTEGER A(2,2),下列答案中能達到完全相同的輸入效果的一對是:
(1) read (*, *) A (1, 1), A (1, 2) , A (2, 1), A (2, 2,)
(2 ) read (*, *) A
(3 ) do 10 I =1, 2
do 10 J =1, 2
10 read (*, *) A (J, I )
(4 ) read (*, * ) ( (A (I ,j ), J= 1, 2 ), I= 1 , 2 )
(A) ( 1 )和( 2 ) (B) ( 1 ) 和 ( 3 )
(C) ( 1 ) 和 ( 4 ) (D) ( 3 ) 和 ( 4 )
5. 下列程序的輸入結果為:
common T (4)
data T/1.0, 2.0, 3.0, 4.0/
external P
call sub ( 3, 4, P, m )
write ( *, * ) m
end
subroutinue sub (m, n, t, k)
k = t (m) + t (n)
end
(A) 18.0 (B) 7.0 (C) 7 (D) 18
6. 設ωi是用f(x)的(n
的數值求積公式的求積系數,即:
,則有:
7.解非線性方程f(x)=0的牛頓-雷扶生(Newton-Raphson)迭代方法在單根x*附近具有:
(A)平方收斂 (B)線性收斂(C)3階收斂 (D)非局部線性收斂
8.若A為下列何項,則A一定右以分解為A=LLT,其中L為非奇異下三角陣。
(A)對稱正定陣 (B)非奇異矩陣(C)對稱陣 (D)按行嚴格對角占優陣
9.設數表
x 0 1 2 3 P(x) 1 3 9 19
取自某多項式P(x),則由此表可確定該多項式P(x)的次數為:
(A) 1次 (B) 2次(C) 3次 (D)4次
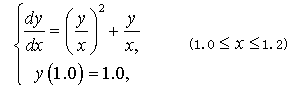
10. 用歐拉(Euler)方法解常微分方程初值問題
取h = 0.1 , 則在節點x2 = 1.2 處的數值解為:
(A)1.1281 (B) 1.2281 (C) 1.3281 (D) 1.4281
?08年考試規范、標準: 2008年一級注冊結構工程師考試成績查詢匯總
最新資訊
- 2025年二級結構工程師真題及答案解析,真題試卷(上午+下午)免費下載2025-11-17
- 2025年二級注冊結構工程師考試真題試卷(上午+下午)免費下載2025-11-17
- 2025年二級結構工程師真題試卷(下午)免費下載,核心考點與備考策略2025-11-17
- 2025年二級結構工程師真題試卷(上午)免費下載,真題解析與備考指南2025-11-17
- 2025年一級注冊結構工程師專業考試真題(完整版下載)2025-11-13
- 2025注冊結構工程師考試真題權威發布!速來下載對答案+高效估分攻略2025-11-07
- 必刷!一級結構工程師基礎考試歷年真題精析+高頻考點突破2025-11-07
- 2025年一級注冊結構工程師真題免費下載2025-11-06
- 2025年二級結構工程師考試真題:命題趨勢與備考策略2025-11-06
- 2025注冊結構工程師基礎考試真題解析:高頻考點與實戰提分指南2025-11-05