環境影響評價技術方法第八講講義精選1
二.河流水質數學模式預測方法(掌握)
(1)河流稀釋混合模式
①點源(會計算)
C= cpQp+chQh/Qp+Qh
式中c―一完全混合的水質濃度,mg/L;
Qp――上游來水設計水量,m3/s;
Cp――設計水質濃度,mg/L;
Qh――污水設計流量,m3/s;
Ch―――設計排放濃度,mg/L。
例題:上游來水COD(p) =14.5mg/L,Qp=8.7m3/s;污水排放源強COD(h)=58 mg/L, Qh=1.1m3/s.
如忽略排污口至起始斷面間的水質變化,且起始斷面的水質分布均勻,則起始斷面的CODcr濃度是?
解析:按公式C= cpQp+chQh/Qp+Qh
=[14.5×8.7)+(58×1)]/(8.7+1)=19
、诜屈c源

式中Ws――沿程河段內非點源匯人的污染物總負荷量,kg/d;
Q――下游x距離處河段流量,m3/s;
Qs――沿程河段內非點源匯人的污染物總負荷量,m3/s;
xs――控制河段總長度,km;
x――沿程距離,km。
、劭紤]吸附態和溶解態污染指標耦合模型

式中c――-溶解態濃度,mg/L;
X――單位質量固體顆粒吸附的污染物質量,mg/kg;
Kp―一分配系數,L/mg。
對于有毒有害污染物:
式中 cT――總濃度,mg/L;
S――懸浮固體濃度,mg/L
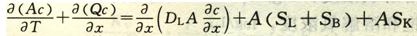
(2)河流的一維穩態水質模式

式中A――-河流橫斷面面積;
c――水質組分濃度;
Q――河流流量;
DL――――綜合的縱向離散系數;
SL――直接的點源或非點源強度;
SB――上游區域進人的源強;
SK――-動力學轉化率。
網校環境影響評價師頻道>>> 2010年環境影響評價師輔導招生簡章>>> 考后學員交流反饋>>>
?2010環境影響評價工程師網絡遠程輔導方案
?課程將全部采用寬頻教學,現在報名,立即上課
?環境影響評價工程師職業資格制度問答
最新資訊
- 環評工程師備考經驗:2026年環評工程師考試全年學習計劃來襲!2025-08-21
- 2025年環境影響評價工程師考試真題與考前資料對比(法規+導則+技法)2025-07-04
- 2025年環境影響評價師《環境影響評價技術導則與標準》真題與考前資料對比2025-07-04
- 2025年環境影響評價師《環境影響評價相關法律法規》真題與考前資料對比2025-07-04
- 2025年環境影響評價師《環境影響評價技術方法》真題與考前資料對比2025-07-04
- 2025年環評師考試真題考情分析(4科目)2025-07-04
- 考前資料:2025年環評師考試思維導圖-環境影響評價相關法律法規2025-06-11
- 考前資料:2025年環評師考試思維導圖-環境影響評價技術方法(內含7個章節)2025-06-11
- 考前資料:2025年環評師考試思維導圖-《環境影響評價技術導則與標準》2025-06-10
- 考前資料:2025年《環境影響評價相關法律法規》環境影響評價師速記口訣2025-06-10