2006年7月高教自學考試高等數學(工專)試題
更新時間:2009-10-19 15:27:29
來源:|0
瀏覽
收藏
自學考試報名、考試、查分時間 免費短信提醒
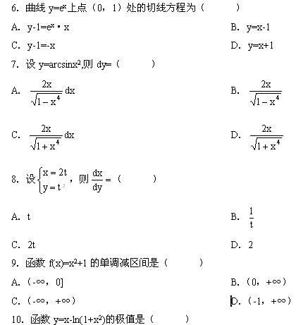
一、單項選擇題(本大題共30小題,1―20每小題1分,21―30每小題2分,共40分)
在每小題列出的四個備選項中只有一個是符合題目要求的,請將其代碼填寫在題后的括號內。錯選、多選或未選均無分。
(一)(每小題1分,共20分)







編輯推薦
最新資訊
- 2025年10月自考《英語二》完形補文+寫作真題及答案整理2025-10-30
- 備考重點!2025年10月自學考試全專業真題、答案解析合集匯總2025-10-30
- 同步更新!2025年10月自考《英語二》真題及答案匯總(完整版)2025-10-29
- 答案發布!2025年10月自考各專業真題已匯總2025-10-29
- 2025年10月自考《英語二》選擇、完形填空、寫作真題及答案更新!2025-10-28
- 更新!2025年10月自考《英語二》答案匯總2025-10-28
- 簡答題+論述題!2025年10月自考《毛概》真題答案速看2025-10-28
- 2025年10月自考本科對答案!公共課+專業課全科目真題及答案解析2025-10-28
- 完整版!2025年10月自考《習概》、《毛概》、《馬原》、《思修》真題、答案2025-10-28
- 同步更新!2025年10月自考《毛概》簡答+論述真題及答案詳解2025-10-27