2008年4月自學考試高等數學(工本)試題
更新時間:2009-10-19 15:27:29
來源:|0
瀏覽
收藏
自學考試報名、考試、查分時間 免費短信提醒
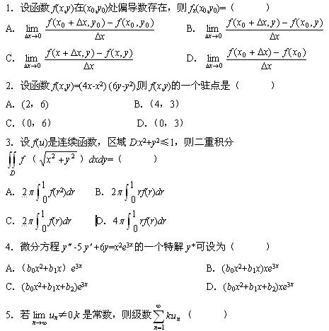
一、單項選擇題(本大題共5小題,每小題3分,共15分)
在每小題列出的四個備選項中只有一個是符合題目要求的,請將其代碼填寫在題后的括號內。錯選、多選或未選均無分。




編輯推薦
最新資訊
- 2017自考:中國近現代史綱要真題?(11.17)2016-11-18
- 自考《英語(一)》真題練習:填句補文(9.8)2016-09-08
- 自考《大學語文》真題練習:《論毅力》(9.8)2016-09-08
- 浙江省2013年7月高等教育自考建設項目管理試題2013-08-02
- 2013年4月自考《馬克思主義基本原理概論》簡答必備二2013-04-18
- 2013年4月自考《馬克思主義基本原理概論》簡答必備一2013-04-18
- 2009年4月全國自學考試中國稅制試題2009-04-27
- 自考英語二模擬題精選集2009-02-27
- 自考前突擊寶典招術分析提高的三層臺階2009-01-04
- 浙江省2008年10月自學考試美術教育學試題2008-12-26