2010年廣東省公開考試錄用公務員招考公告
根據《中華人民共和國公務員法》、《公務員錄用規定(試行)》和《廣東省公務員錄用辦法(試行)》規定,按照“公開、平等、競爭、擇優”的原則,中共廣東省委組織部、廣東省人力資源和社會保障廳決定組織2010年全省各級機關考試錄用主任科員以下非領導職務公務員(含參照公務員法管理單位工作人員,下同)。現將有關事項公告如下:
一、招考對象
招考對象為全日制普通高等院校應屆畢業生和具有國家承認的大專以上學歷的社會人員。非廣東常住戶口(生源)報考者限全日制普通高等院校大學本科以上學歷并取得學士以上學位的人員。應屆畢業生指2010年畢業的全日制普通高等院校畢業生(含2008年、2009年辦理暫緩就業手續且未就業的畢業生);社會人員指除應屆畢業生外,取得國家承認學歷的人員。對于學制為2年半或提前修滿學分,于2009年底或2010年初畢業的普通高等院校畢業生,視為應屆畢業生(已在國有單位工作的,需征得工作單位同意方可報考);港澳學習、國外留學歸來人員報考公務員,報名時畢業未滿1年的,視為應屆畢業生,已滿1年的視為社會人員。
應屆畢業生和社會人員按招考對象類別對應報考。國有單位正式員工報考須征得工作單位同意,并出具書面證明。港澳學習、國外留學歸來人員報考公務員,須取得教育部中國留學服務中心境外學歷、學位認證書,并有我駐外使領館開具的證明材料。服務期滿、考核合格的從事支教、支農、支醫和扶貧(以下簡稱“三支一扶”)工作的大學生,報考有年齡限制的公務員職位,年齡可放寬2歲,但不得超過35周歲。
二、報考條件
(一)具有中華人民共和國國籍,擁護中華人民共和國憲法;
(二)遵紀守法,具有良好的品行;
(三)年齡18至35周歲(1974年3月31日至1992年3月31日期間出生);
(四)具有大專以上文化程度(個別特殊職位放寬到高中);
(五)具有正常履行職責的身體條件和工作能力;
(六)具有招錄職位所要求的其他資格條件。
招考職位明確要求“有2年以上基層工作經歷”的,報考人員必須具備在基層和生產一線工作累計滿2年的經歷(時間截至2010年6月30日)。
曾因犯罪受過刑事處罰的人員和曾被開除公職的人員,在各級公務員招考中被認定有舞弊等嚴重違紀行為的人員,公務員或事業單位工作人員被辭退未滿5年的、現役軍人、在讀的非應屆畢業生,以及有關法律法規規定不得錄用為公務員的人員,不得報名。報考人員不得報考考錄后即構成回避關系的職位。
三、報名辦法
(一)招考職位查詢
省直機關及其直屬機構(含省法院、省檢察院機關和省以下垂直管理部門,下同)招考職位:見附件1。
各市招考職位:查閱各市招考公告(查詢網址見附件2)。
全省各級公安機關招考人民警察職位:查閱廣東人事網(http://www.gdrst.gov.cn)、廣東公安網(http://www.gdga.gov.cn)。
全省各級法院、檢察院招考職位分為法律業務職位和非法律業務職位,見省委組織部、省人力資源和社會保障廳、省法院、省檢察院聯合公布的招考簡章,可查閱廣東組織工作網(http://www.gdzz.cn)、廣東法院網(http://www.gdcourts.gov.cn)、廣東省人民檢察院_陽光檢務網(http://www.gd.jcy.gov.cn)。
全省選調生職位,見省委組織部、省人力資源和社會保障廳聯合公布的招考簡章,可查閱廣東組織工作網(http://www.gdzz.cn)、廣東人事網(http://www.gdrst.gov.cn)、廣東省人事考試局公務員考試網(http://www.humanassess.com.cn)。
(二)報名時間及方式
省直機關及其直屬機構的職位采用網上報名方式,在廣東省人事考試局公務員考試網(http://www.humanassess.com.cn)上報名,報名時間為2010年3月2日9∶00至3月8日16∶00,網上繳費截止時間為3月9日16∶00。
市、縣兩級法院、檢察院、公安機關的職位及選調生職位,均在各市報名。各市報名時間及方式請查閱各市招考公告。
(三)報名要求
報考省直機關及其直屬機構招考的職位,需按照本公告要求在規定時間內登錄指定網站進行報名。
報考人員須按專業參考目錄(見附件3)進行報考,所學專業應符合報考職位的專業要求,學位種類不等同于報考專業。每位報考人員只可報考一個符合招考條件的職位,不能用新、舊版兩個身份證號同時報名,報名與考試時使用的身份證必須一致。報名提交的報考申請材料必須真實、準確,提供虛假報考申請材料的,一經查實,即取消報考資格或錄用資格。對偽造、變造有關證件、材料、信息,騙取考試資格的,按《公務員錄用考試違紀違規行為處理辦法(試行)》予以嚴肅處理。
享受國家最低生活保障金的城鎮家庭、農村貧困家庭的報考者,免交報名考務和體檢等費用。
四、考試
考試包括筆試和面試。
(一)筆試
筆試科目為《行政職業能力測驗》、《申論》兩科。未通過國家統一司法考試的人員報考各級法院、檢察院法律業務職位的,加考《法律基礎知識》。有關情況詳見《廣東省2010年考試錄用公務員筆試科目考試大綱》(見附件4),所有科目均不指定考試用書。
筆試時間:2010年3月21日
上午:08∶00—09∶30 《行政職業能力測驗》
10∶15—12∶15 《申論》
下午:14∶30—16∶00 《法律基礎知識》
筆試成績按《行政職業能力測驗》和《申論》成績相加計算,按四舍五入保留小數點后1位。《法律基礎知識》成績不計入筆試成績,低于合格分數線的,不能進入面試。
由我省招募的“三支一扶”大學生,服務期滿考核合格的,自服務期滿之日起3年內報考我省公務員,筆試成績加3分,同等條件下優先錄用。
(二)面試
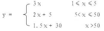
面試對象按招考職位擬錄用人數分段計算,計算函數為:

其中,χ代表招考職位擬錄用人數,у代表面試對象人數;計算結果(у值)小數點后按四舍五入取整數值。按照此公式計算確定具體職位進入面試的考生數量,再按筆試總成績(即《行政職業能力測驗》和《申論》成績之和)高低順序,在筆試合格的考生中確定面試對象。
面試對象在面試前需按公務員主管部門或招錄單位規定的時間、地點進行報考資格復審。資格復審不合格的,不得參加面試,招錄單位可依次遞補面試對象。
報考公安機關(含森林公安)職位的考生須進行體能素質測評,體能素質測評不合格的,不能進入面試。體能素質測評由地級以上市人力資源和社會保障部門會同公安部門組織實施。
面試工作嚴格按《廣東省公務員錄用面試工作實施細則(試行)》執行,全省統一命題,統一時間進行。具體面試時間、地點等事項另行通知。
面試結束后,考試總成績按下列公式計算:
考試總成績=筆試成績÷2×60%+面試成績×40%。
筆試、考試總成績的合格分數線由省委組織部、省人力資源和社會保障廳按規定劃定。
五、體檢和考察
考試結束后,按考試總成績由高到低的順序,等額確定參加體檢人員名單。具體體檢事項安排另行通知。
體檢合格的考生確定為擬錄用考察人選,由招錄單位對其政治素質、道德品質、能力和學習工作表現,以及遵紀守法、廉潔自律等情況進行考察,并核實其是否符合報考資格條件。
六、錄用
考察合格的,確定為擬錄用人選名單,由公務員主管部門或招錄單位通過互聯網等媒體進行公示,公示時間為7天,再按規定的程序和權限報批錄用。
體檢不合格或體檢人選放棄體檢的,可依次遞補體檢人選。考察不合格或者放棄錄用的,也可依次遞補考察人選。公示中發現問題的,可依次遞補。是否遞補體檢、考察和錄用人選,由招錄單位研究提出意見。
七、注意事項
(一)報考人員報名前需認真閱讀本公告和報考指南(見附件5)。
(二)報考人員參加考試時,必須同時攜帶準考證和身份證。證件不齊者,不得參加考試。
(三)本次考試不舉辦、也不委托任何機構舉辦考試輔導培訓班,也不指定任何參考用書和資料。社會上任何以公務員考試、專門培訓機構等名義舉辦的輔導班、輔導網站或發行的出版物、參考資料、上網卡等,均與本次考試無關。
本公告及相關附件同時在廣東組織工作網(http://www.gdzz.cn)、廣東人事網(http://www.gdrst.gov.cn)和廣東省人事考試局公務員考試網(http://www.humanassess.com.cn)上發布,由中共廣東省委組織部、廣東省人力資源和社會保障廳負責解釋。
中共廣東省委組織部
廣東省人力資源和社會保障廳
2010年3月1日
附 件:
更多信息請訪問:公務員頻道 廣東公務員考試網 公務員考試論壇 公務員博客圈
最新資訊
- 2026年國考考試時間詳解:11月30日11:00行測結束前的關鍵準備2025-11-18
- 2026年國考時間安排全知道:11月30日公共科目考試倒計時指南2025-11-18
- 2026國考時間定檔!公共科目11月30日開考,備考指南速看2025-11-17
- 2026國考筆試時間全攻略:行測申論考試日期及備考指南2025-11-17
- 2026國考考試時間全知道!附完整考試日程及備考規劃2025-11-17
- 2026國考考試時間官宣!申論考試時長及重要節點全解析2025-11-17
- 2026國考筆試時間11月29-30日:準考證打印與考試全攻略2025-11-12
- 2026國考筆試11月29-30日:準考證打印與考試全攻略2025-11-12
- 2026國考行測筆試全解析:時間、內容與備考策略2025-11-12
- 2026年國考考試時間全解析:筆試安排與備考指南2025-11-12