房地產估價師《房地產估價理論與方法》第七章資料五
第七章 成本法
第五節 建筑物折舊的求取
一、建筑物折舊的含義和原因
(一)、建筑物折舊的含義
估價上的折舊與會計上的折舊,雖然都稱為折舊并且有一定的相似之處,但兩者的內涵不同而有著本質區別。估價上的建筑物折舊是指各種原因造成的建筑物價值損失,其金額為建筑物在估價時點的市場價值與在估價時點的重新購建價格之差,即:
建筑物折舊 = 建筑物重新購建價格 - 建筑物市場價值
建筑物重新購建價格表示建筑物在全新狀況下的市場價值,減去建筑物折舊,相當于對其實際上不是全新狀況對價值的影響進行相應的減價調整,所得的結果表示建筑物在估價時點狀況下的市場價值,即:
建筑物市場價值 = 建筑物重新購建價格 - 建筑物折舊
(二)、建筑物折舊的原因
根據引起建筑物折舊的原因,建筑物折舊可以分為物質折舊、功能折舊和經濟折舊三大類。
1. 物質折舊
物質折舊也稱為有形損耗,是指建筑物在實體上的老化、磨損、損壞所造成的建筑物價值損失。可以從以下4個方面來進一步認識和把握物質折舊:①自然經過的老化;②正常使用的磨損;③意外破壞的損毀;④延遲維修的損壞殘存。
(1)自然經過的老化主要是隨著時間的流逝由自然力作用引起的,例如風吹、日曬、雨淋等引起的建筑物腐朽、生銹、風化、基礎沉降等,它與建筑物的實際年齡(建筑物從竣工之日起到估價時點止的日歷年數)正相關。同時要看建筑物所在地區的氣候和環境條件。
(2)正常使用的磨損主要是由人工使用引起的,它與建筑物的使用性質、使用強度和使用年數正相關。例如,居住用途的建筑物的磨損要小于工業用途的建筑物的磨損。工業用途的建筑物又可分為受腐蝕的和不受腐蝕的。受腐蝕的建筑物,由于會受到使用過程中產生的有腐蝕作用的廢氣、廢液等的不良影響,其受損毀的程度要大于不受腐蝕的建筑物。
(3)意外破壞的損毀主要是由突發性的天災人禍引起的,包括自然方面的,例如地震、水災、風災、雷擊,人為方面的,例如失火、碰撞等。
(4)延遲維修的損壞殘存主要是由于沒有適時地采取預防、養護措施或者修理不夠及時所引起的,造成建筑物不應有的損壞或提前損壞,或者已有的損壞仍然存在,例如門窗有破損,墻體或地面有裂縫、孔洞等。
2. 功能折舊
功能折舊也稱為無形損耗 ,是指建筑物在功能上的缺乏、落后或過剩所造成的建筑物價值損失。導致建筑物功能缺乏、落后或過剩的原因,可能是建筑設計上的缺陷,過去的建筑標準過低,人們的消費觀念改變,建筑技術進步,出現了更好的建筑物等等。
(1)功能缺乏是指建筑物沒有應該有的某些部件、設備、設施或系統等。例如,住宅沒有衛生間、暖氣(北方地區)、燃氣、電話線路、有線電視等。
(2)功能落后是指建筑物已有的部件、設備、設施或系統等的標準低于正常標準或有缺陷而阻礙其他部件、設備、設施或系統等的正常運營。例如,設備、設施陳舊落后或容量不夠,建筑式樣過時,空間布局欠佳等。
(3)功能過剩是指建筑物已有的部件、設備、設施或系統等的標準超過市場要求的標準而對房地產價值的貢獻小于其成本。例如,某幢廠房的層高為6m, 但當地廠房的標準層高為5m, 則該廠房超高的lm 因不能被市場接受而使其所多花的成本成為無效成本。
3. 經濟折舊
經濟折舊也稱為外部性折舊, 是指建筑物以外的各種不利因素所造成的建筑物價值損失。不利因素可能是經濟因素(如市場供給過量或需求不足)、區位因素(如環境改變,包括景觀被破壞、自然環境惡化、環境污染、交通擁擠、城市規劃改變等), 也可能是其他因素(如政府政策變化、采取宏觀調控措施等)。進一步可將經濟折舊區分為永久性的和暫時性的。例如,一個高級居住區附近興建了一座工廠,該居住區的房地產價值下降,就是一種經濟折舊。
【例7-4】某套舊住宅,測算其重置價格為40萬元,地面、門窗等破舊引起的物質折舊為1萬元,因戶型設計不好、沒有獨用廁所和共用電視天線等導致的功能折舊為6萬元,由于位于城市衰落地區引起的經濟折舊為3萬元。求取該套舊住宅的折舊總額和現值。
【解】 該舊住宅的折舊總額求取如下 :
該舊住宅的折舊總額 = 物質折舊 + 功能折舊 + 經濟折舊 =1 + 6 + 3 =10(萬元)
該舊住宅的現值求取如下 :
該舊住宅的現值 = 重置價格 - 折舊 =40-10 =30(萬元)
二、建筑物折舊的求取方法
求取建筑物折舊的方法主要有三種,分別是年限法、市場提取法、分解法。
(一)、年限法
1. 年限法和有關年限的含義
年限法也稱為年齡-壽命法, 是根據建筑物的經濟壽命、有效年齡或剩余經濟壽命來求取建筑物折舊的方法。
建筑物的壽命可分為:自然壽命和經濟壽命。建筑物的自然壽命是指從建筑物竣工之日開始,到建筑物的主要結構構件和設備的自然老化或損壞而不能繼續保證建筑物安全使用為止的時間。建筑物的經濟壽命是指建筑物對房地產價值有貢獻的時期。具體是從建筑物竣工之日開始,到建筑物對房地產價值不再有貢獻為止的時間。對于收益性房地產來說,建筑物的經濟壽命具體是從建筑物竣工之日開始,在正常市場和運營狀態下,房地產產生的收入大于運營費用,即凈收益大于零的持續時間,參見教材圖7-4 所示。
建筑物的經濟壽命短于其自然壽命,是由市場決定的,相同類型的建筑物在不同地區的經濟壽命也可能不同。經濟壽命具體可根據建筑物結構的工程質量、用途和維修養護情況,結合市場狀況、周圍環境、經營收益狀況等進行綜合分析判斷得出。建筑物在其壽命期間如果經過了翻修、改造等,自然壽命和經濟壽命都有可能得到延長。
建筑物的年齡可分為實際年齡和有效年齡。建筑物的實際年齡是指從建筑物竣工之日開始到估價時點為止的日歷年數,類似于人的實際年齡。建筑物的有效年齡是指估價時點時的建筑物狀況和效用所顯示的年齡,類似于人看上去的年齡。
建筑物的有效年齡可能小于也可能等于或大于其實際年齡。實際年齡是估計有效年齡的基礎,即有效年齡通常是在實際年齡的基礎上進行適當的調整后得到:①當建筑物的維修養護為正常的,其有效年齡與實際年齡相當;②當建筑物的維修養護比正常維修養護好或者經過更新改造的,其有效年齡小于實際年齡;③當建筑物的維修養護比正常維修養護差的,其有效年齡大于實際年齡。
建筑物的剩余壽命是其壽命減去年齡后的壽命,分為剩余自然壽命和剩余經濟壽命。建筑物的剩余自然壽命是其自然壽命減去實際年齡后的壽命。建筑物的剩余經濟壽命是其經濟壽命減去有效年齡后的壽命,即
剩余經濟壽命 = 經濟壽命 - 有效年齡
因此,如果建筑物的有效年齡比實際年齡小,就會延長建筑物的剩余經濟壽命;反之,就會縮短建筑物的剩余經濟壽命。建筑物的有效年齡是從估價時點向過去計算的時間,剩余經濟壽命是從估價時點開始到建筑物經濟壽命結束為止的時間,兩者之和等于建筑物的經濟壽命。如果建筑物的有效年齡小于實際年齡,就相當于建筑物比其實際竣工之日晚建成。此時,建筑物的經濟壽命可視為從這個晚建成之日開始到建筑物對房地產價值不再有貢獻為止的時間。
利用年限法求取建筑物的折舊時,建筑物的壽命應為經濟壽命,年齡應為有效年齡,剩余壽命應為剩余經濟壽命。因為只有這樣,求出的建筑物折舊以及求出的建筑物價值,才能符合實際。
2、直線法
年限法中最主要的是直線法。直線法是最簡單,也是應用得最普遍的一種折舊求取方法,假設在建筑物的經濟壽命期間每年的折舊額相等。直線法的年折舊額計算公式為:

式中:Di -第i年的折舊額,或稱做第i年的折舊。在直線法的情況下,每年的折舊額 Di 是一個常數 D 。
C -建筑物的重新購建價格。
S -建筑物的凈殘值,是建筑物的殘值減去清理費用后的余額。建筑物的殘值是預計建筑物達到經濟壽命后,不宜繼續使用時,經拆除后的舊料價值。清理費用是拆除建筑物和搬運廢棄物所發生的費用。
N -建筑物的經濟壽命。
R -建筑物的凈殘值率,簡稱殘值率,是建筑物的凈殘值與其重新購建 價格的比率,即:

另外 ,(C-S)稱為折舊基數:年折舊額與重新購建價格的比率稱為年折舊率,如果用 d 來表示,即:

式中:V ??建筑物的現值。
【例7-5】某幢平房的建筑面積10Om2, 單位建筑面積的重置價格為500元/m2,,判定其有效年齡為10年,經濟壽命為30年,殘值率為5% 。請用直線法計算該房屋的年折舊額、折舊總額,并計算其現值。
【解】已知:C=500×100=50000(元);R=5%;N=30 年;t=10 年。

設建筑物的剩余經濟壽命為 n, 則有 N = t + n, 現將采用直線法折舊下的計算建筑物現值的各種公式總結見教材圖7-3的方框內。
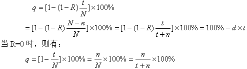
3、成新折扣法
早期運用成本法求取建筑物的現值時,習慣于根據建筑物的建成年代、新舊程度或完損程度等,判定出建筑物的成新率,或者用建筑物的壽命、年齡計算出建筑物的成新率,然后將建筑物的重新購建價格乘以該成新率來直接求取建筑物的現值。這種方法被稱為成新折扣法,計算公式為 :
V= C × q
式中 V --建筑物的現值;
C --建筑物的重新購建價格;
q --建筑物的成新率(%) 。
這種成新折扣法比較粗略,主要用于初步估價,或者同時需要對大量建筑物進行估價的情況,尤其是大范圍的建筑物現值摸底調查。
如果利用建筑物的經濟壽命、有效年齡或剩余經濟壽命來求取建筑物的成新率,則成新折扣法就成了年限法的另一種表現形式。用直線法計算成新率的公式為:

【例7-6】某幢 10 年前建成交付使用的房屋,在此10年間維修養護情況正常,房地產估價師經實地查看判定其剩余經濟壽命為30年,殘值平為零。請用直線法計算該房屋的成新率。
【解】已知: t=10 年,n =30 年 ,R=0

(二)、市場提取法
市場提取法是利用含有與估價對象中的建筑物具有類似折舊狀況的建筑物的可比實例,來求取估價對象中的建筑物折舊的方法。所謂類似折舊狀況,是指可比實例中的建筑物的折舊類型(物質折舊、功能折舊、經濟折舊)和折舊程度與估價對象中的建筑物的折舊類型和折舊程度相同或者相當。
市場提取法是基于先知道舊的房地價值,然后利用適用于舊的房地的成本法公式反求出建筑物折舊。已知道,適用于舊的房地的成本法公式為:
舊的房地價值 = 土地重新購建價格 + 建筑物重新購建價格 - 建筑物折舊
因此,如果知道了舊的房地價值、土地重新購建價格、建筑物重新購建價格,便可以求出建筑物折舊,即:
建筑物折舊 = 土地重新購建價格 + 建筑物重新購建價格-舊的房地價值 = 建筑物重新購建價格 - (舊的房地價值-土地重新購建價格) = 建筑物重新購建價格 - 建筑物折舊后價值
特別提示:上述內容為2007教材新增加的內容。
市場提取法求取建筑物折舊的步驟和主要內容如下 :
(1)從當地房地產市場上搜集大量的交易實例。
(2)從所搜集的交易實例中選取三個以上的可比實例。要求所選取的可比實例中的建筑物與估價對象中的建筑物具有類似折舊狀況。
(3)對每個可比實例的成交價格進行付款方式等有關換算、交易情況修正、房地產狀況調整(注意不對其中的折舊狀況進行調整), 但不進行市場狀況調整。
注意:不對折舊進行調整是因為如果對折舊進行了調整,就提取不出可比實例的折舊了。不進行市場狀況調整,是因為市場狀況的變化是折舊的一部分,它屬于經濟折舊的范疇,如果進行了調整,就相當于減少了經濟折舊。
(4)求取每個可比實例在其成交日期時的土地重新購建價格,然后將前面換 算、修正和調整后的可比實例成交價格減去土地重新購建價格得出建筑物折舊后價值。
(5)求取每個可比實例在其成交日期時的建筑物重新購建價格,然后將每個可比實例的建筑物重新購建價格減去前面求出的建筑物折舊后價值得出建筑物折舊。
(6)將每個可比實例的建筑物折舊除以建筑物重新購建價格轉換為總折舊率。
(7)將估價對象建筑物的重新購建價格乘以總折舊率,或者乘以年平均折舊率再乘以建筑物年齡,便可以得到估價對象建筑物折舊,即:
建筑物折舊 = 建筑物重新購建價格×總折舊率
或者
建筑物折舊 = 建筑物重新購建價格×年平均折舊率×建筑物年齡
特別提示:本部分內容為新增加的內容,應是考試的重點內容。
利用市場提取法求出的年平均折舊率,還可以求取年限法所需要的建筑物經濟壽命。在假設建筑物的殘值率為零的情況下:
建筑物經濟壽命 = 1/平均年折舊率
例如,如果通過市場提取法求出的估價對象建筑物的年平均折舊率為2%, 則可以根據2%的倒數估計估價對象建筑物的經濟壽命為50年。
此外,利用總折舊率還可以求出建筑物的成新率:
建筑物成新率 =1 - 總折舊率
(三)、分解法
本部分內容是歷年考試的重點,也是計算題的核心內容。
分解法是對建筑物各種類型的折舊分別予以分析和估算,然后將它們加總來求取建筑物折舊的方法。它是求取建筑物折舊最詳細、最復雜的一種方法。分解法求取建筑物折舊的途徑,參見教材圖7-4 。
分解法認為,建筑物各種類型的物質折舊、功能折舊和經濟折舊,應根據各自的具體情況分別采用適當的方法來求取。該方法求取建筑物折舊的步驟是:①求取物質折舊。將物質折舊分解為各個項目,分別采用適當的方法求取折舊相加。②求取功能折舊。將功能折舊分解為各個項目,分別采用適當的方法求取折舊后相加。③求取經濟折舊。將經濟折舊分為不同情況,分別采用適當的方法求取折舊后相加。④求取建筑物的折舊總額。這是將上述求取的所有折舊額相加得到建筑物的折舊總額。
1. 物質折舊的求取方法
物質折舊的求取過程和方法如下:
(1)將物質折舊項目分為可修復項目和不可修復項目兩類。修復是指恢復到新的或者相當于新的狀況,有的是修理,有的是更換。預計修復所必要的費用小于或者等于修復所能帶來的房地產價值增加額的,是可修復的,即:
修復所必要的費用 ≤ 修復后的房地產價值 - 修復前的房地產價值
反之,是不可修復的。
(2)對于可修復項目,估算在估價時點采用最優修復方案使其恢復到新的或者相當于新的狀況下所必要的費用作為折舊額。
(3)對于不可修復項目,根據其在估價時點的剩余使用壽命是否短于整體建筑物的剩余經濟壽命,分為短壽命項目和長壽命項目兩類。短壽命項目是剩余使用壽命短于整體建筑物剩余經濟壽命的部件、設備、設施等,它們在建筑物剩余經濟壽命期間遲早需要更換,甚至需要更換多次。長壽命項目是剩余使用壽命等于或者長于整體建筑物剩余經濟壽命的部件、設備、設施等,它們在建筑物剩余經濟壽命期間是不需要更換的。在實際中,短壽命項目與長壽命項目的劃分,一般是在其壽命是否短于建筑物經濟壽命的基礎上作出的,例如,基礎、墻體、屋頂、門窗、管網、電梯、空調、衛生設備、裝飾裝修等的壽命是不同的。
短壽命項目分別根據各自的重新購建價格(通常為市場價格、運輸費、安裝費等之和)、壽命、年齡或剩余使用壽命,利用年限法計算折舊額。
長壽命項目是合在一起,根據建筑物重新購建價格減去可修復項目的修復費用和各短壽命項目的重新購建價格后的余額、建筑物的經濟壽命、有效年齡或剩余經濟壽命,利用年限法計算折舊額。
長壽命項目折舊基數 = 建筑物重新購建價格-可修復項目的修復費用- 各短壽命項目的重新購建價格
(4)將可修復項目的修復費用、短壽命項目的折舊額、長壽命項目的折舊額相加,即為物質折舊額。
【例7-7 】某建筑物的重直價格為180萬元,經濟壽命為50年,有效年齡為10年。其中,門窗等損壞的修復費用為2萬元;裝飾裝修的重置價格為30萬元,平均壽命為5年,年齡為3年;設備的重置價格為60萬元,平均壽命為15年,年齡為10年。殘值率假設均為零。請計算該建筑物的物質折舊額。
【解】該建筑物的物質折舊額計算如下 :
門窗等損壞的修復費用 =2(萬元)
裝飾裝修的折舊額 =30 ×(1/5)× 3 = 18(萬元)
設備的折舊額 =60 ×(1/15)× 10 = 40(萬元)
長壽命項目的折舊額 =(180-2-30-60) ×(1/50)×10 = 17.6(萬元)
該建筑物的物質折舊額 =2 +18+40+17.6=77.6(萬元)
2.功能折舊的求取方法
功能折舊的求取過程和方法如下:
(1)將功能折舊分為功能缺乏、功能落后和功能過剩引起的三類,并進一步將它們分為可修復的和不可修復的。
(2)對于可修復的功能缺乏引起的折舊,在采用缺乏該功能的“重建價格”下的求取方法是:①估算在估價時點在估價對象建筑物上單獨增加該功能所必要的費用;②估算該功能假設在估價時點重置建造建筑物時就具有所必要的費用;③將在估價時點在估價對象建筑物上單獨增加該功能所必要的費用,減去該功能假設在估價時點重置建造建筑物時就具有所必要的費用,即增加該功能所超額的費用為折舊額。
可修復的功能缺乏引起的折舊 = 在估價時點在估價對象建筑物上單獨增加該功能所必要的費用-該功能假設在估價時點重置建造建筑物時就具有所必要的費用
【例7-8】某幢應有電梯而沒有電梯的辦公樓,重建價格為2000萬元,現在設電梯需要120萬元,假設現在建造辦公樓時一同安裝電梯只需要100萬元。請計算該辦公樓因沒有電梯引起的折舊及扣除沒有電梯引起的折舊后的價值。
【解】該辦公樓因沒有電梯引起的折舊及扣除沒有電梯引起的折舊后的價值計算如下 :
該辦公樓因沒有電梯引起的折舊 =120-100
=20(萬元)
該辦公樓扣除沒有電梯引起的折舊后的價值 =2000 - 20
=1980(萬元)
如果是采用具有該功能的“重置價格”,則減去在估價對象建筑物上單獨增加該功能所必要的費用,可直接得到了扣除該功能缺乏引起的折舊后的價值。
【例 7-9】 例 7-8 應有電梯而沒有電梯的辦公樓,現增設電梯需要120萬元,類似有電梯的辦公樓的重置價格為2100萬元。請計算該辦公樓扣除沒有電梯引起的折舊后的價值。
【解】該辦公樓扣除沒有電梯引起的折舊后的價值計算如下:
該辦公樓扣除沒有電梯引起的折舊后的價值 =2l00-120 =1980(萬元)
特別提示:以上兩個例題為新增加的內容,必須要會。
對于不可修復的功能缺乏引起的折舊,可以采用下列方法來求取:①利用“租金損失資本化法”求取缺乏該功能導致的未來每年損失租金的現值之和;②估算該功能假設在估價時點重置建造建筑物時就具有所必要的費用;③將未來每年損失租金的現值之和,減去該功能假設在估價時點重置建造建筑物時就具有所必要的費用,即得到折舊額。
例如:某寫字樓由于缺少大型多功能設施,使得該寫字樓每年凈租金損失10萬元(或者比同地區類似寫字樓每年少收入凈租金10萬元);經測算如果現在增加該項功能需要各種費用約50萬元。假設該寫字樓剩余收益期為30年,報酬率Y為10%,求此項折舊。
(1)用收益法計算年租金損失的收益價格;
(2)折舊=收益價格-50萬元
此段話請大家一定要注意,要結合收益法的收益價格公式會計算,考試的幾率應在90%以上。
(3)對于可修復的功能落后引起的折舊,以電梯落后為例,其折舊額為該功能落后電梯的重置價格,減去該功能落后電梯已提折舊,加上拆除該功能落后電梯所必要的費用,減去該功能落后電梯可回收的殘值,加上安裝新的功能先進電梯所必要的費用,減去該新的功能先進電梯假設在估價時點重置建造建筑物時一同安裝所必要的費用。如果用公式表示為:
可修復功能落后的折舊額 = 功能落后部分的重置價格-功能落部分的已提折舊+ 拆除該功能落后部分的必要的費用- 功能落后部分的可回收的殘值+ 安裝新的功能部分所必要的費用- 該新的功能先進部分在估價時點重置建造建筑物時一同安裝所必要的費用與可修復的功能缺乏引起的折舊額相比,可修復的功能落后引起的折舊額加上了功能落后電梯尚未折舊的價值(即功能落后電梯的重置價格減去已提折舊。 該部分未發揮作用就報廢了),減去了功能落后電梯拆除后的凈殘值(即拆除后可回收的殘值減去拆除費用。可挽回的損失), 即多了落后功能的服務期未滿而提前報廢的損失。
【例7-10】某幢舊辦公樓的電梯已落后,如果將該電梯更換為功能先進的新電梯,估計需要拆除費用2萬元,可回收殘值3萬元,安裝新電梯需要120萬元(包括購買價款、運輸費、安裝費等), 要比在建造同類辦公樓一同安裝多花費20萬元。估計該舊辦公樓的重建價格為2050萬元,該舊電梯的重置價格為50萬元,已提折舊40萬元。請計算該辦公樓因電梯落后引起的折舊及扣除電梯落后引起的折舊后的價值。
【解】該辦公樓因電梯落后引起的折舊及扣除電梯落后引起的折舊后的價值計算如下:
該辦公樓因電梯落后引起的折舊 =(50-40)+(2-3)+20 =29(萬元)
該辦公樓扣除電梯落后引起的折舊后的價值 =2050-29 =2021(萬元)
計算過程分析:
(1)功能落后部分的重置價格=50萬元;
(2)已提折舊40萬元;
(3)拆除費用2萬元;
(4)可回收殘值3萬元;
(5)安裝新電梯需要120萬元;
(6)該新的功能先進部分在估價時點重置建造建筑物時一同安裝所必要的費用計算:
根據題意:安裝新電梯需要120萬元,要比在建造同類辦公樓一同安裝多花費20萬元。則該新的功能先進部分在估價時點重置建造建筑物時一同安裝所必要的費用=120-20=100萬元
則依據上面的公式有:
50-40+2-3+120-100=29萬元
對于不可修復的功能落后引起的折舊,仍以電梯落后為例,其折舊額是在上述可修復的功能落后引起的折舊額計算中,將安裝新的功能先進電梯所必要的費用,替換為利用“租金損失資本化法”求取的功能落后電梯導致的未來每年損失租金的現值之和。
可修復功能落后的折舊額 = 功能落后部分的重置價格-功能落部分的已提折舊+ 拆除該功能落后部分的必要的費用- 功能落后部分的可回收的殘值+ 因不可修復功能落后引起的某一年損失/資本化率- 該新的功能先進部分在估價時點重置建造建筑物時一同安裝所必要的費用
(4)功能過剩一般是不可修復的。功能過剩引起的折舊首先應包括功能過剩所造成的“無效成本”。該無效成本可以通過采用重置價格而自動得到消除,但如果采用重建價格則不能消除。以前面講過的層高過高的廠房為例,因為重置價格將依據5m層高計算,不是依據6m層高來估算。而重建價格仍依據6m層高來估算。其次,無論是采用重置價格還是采用重建價格,功能過剩引起的折舊還應包括功能過剩所造成的“超額持有成本”。超額持有成本可以利用“超額運營費用資本化法” 即功能過剩導致的未來每年超額運營費用的現值之和來求取。這樣,在采用重置價格的情況下:
扣除功能過剩引起的折舊后的價值 = 重置價格 - 超額持有成本在采用重建價格的情況下:
扣除功能過剩引起的折舊后的價值 = 重建價格 -(無效成本 + 超額持有成本)
特別提示:(4)部分的關鍵是如何計算超額持有成本和無效成本。仍然以層高為5米與6米的廠房為例來說明。例如,經測算6米層高的廠房比5米層高的廠房,每年采暖費多支出5萬元,空調費每年多支出10萬元,照明費多支出2萬元;另外已知此類廠房層高每增加10cm,則工程造價增加100元/m2,假設該廠房為1000m2,資本化率為10%,計算超額成本及無效成本。
A、超額成本:(5+10+3)/10%=180萬元(計算方法可參見8章內容)
B、無效成本:[(6-5)/0.1)]×100×1000
(5)將功能缺乏引起的折舊額、功能落后引起的折舊額、功能過剩引起的折舊額相加,即為功能折舊額。
3. 經濟折舊的求取方法
經濟折舊通常是不可修復的,但它可能是暫時性的,例如供給過度的市場,也可能是永久性的,例如周圍環境發生了不可逆的改變。因此,求取經濟折舊首先應分清它是暫時性的還是永久性的,然后可以根據收益損失的期限不同,利用“收益損失資本化法”求取未來每年因建筑物以外的各種不利因素所損失的收益的現值之和作為經濟折舊額。注意:這是成本法與收益法綜合題的結合點。
三、求取建筑物折舊應注意的問題
(一)、估價上的折舊與會計上的折舊的區別
估價上的折舊與會計上的折舊區別在于:
(1)估價上的折舊,注重的是市場價值的真實減損,科學地說不是“折舊”,而是“減價修正”;
(2)會計上的折舊注重的是原始價值的分攤、補償或回收。
(3)在會計上,C為原始價值,是當初購置時的價值,不隨時間的變化而變化,在估價上,C為重新購建價格,是估價時點時的價值,估價時點不同,C的值也可能不同。
(4)在會計上,資產原始價值與累計折舊總額的差被稱作資產的賬面價值,它無須與市場價值一致;
(二)、土地使用期限對建筑物經濟壽命的影響
在土地是有期限的使用權下,建筑物經濟壽命與土地使用期限可能不是同時結束,因此,在求取建筑物折舊時應注意土地使用期限對建筑物經濟壽命的影響。 計算建筑物折舊所采用的建筑物經濟壽命遇到下列情況的處理為:
(1)建筑物經濟壽命早于土地使用期限結束的,應按照建筑物經濟壽命計算建筑物折舊。
(2)建筑物經濟壽命晚于土地使用期限結束的,分為在土地使用權出讓合同中未約定不可續期和已約定可續期兩種情況。
特別提示:上述具體論述的內容請大家一定要仔細閱讀,是2007年教材新增加的內容。
最新資訊
- 2025年備考房地產估價師刷題可以嗎?2025-11-07
- 2025年房地產估價師全科備考攻略2025-10-01
- 房地產估價師2025年怎么備考?2025-07-20
- 2025年注冊房地產估價師備考經驗:如何高效利用零碎時間2025-07-07
- 2025年房地產估價師備考攻略經驗2025-06-26
- 2025年房地產估價師考試備考攻略:高效學習方法與實用技巧2025-06-01
- 備考指導:2025年房地產估價師備考順序安排和考試科目特點2025-05-26
- 2025年房地產估價師考試如何備考?需要了解哪些信息?2025-05-21
- 備考指南:2025年房地產估價師備考順序是什么2025-05-19
- 2025年房地產估價師高效備考攻略:全面提升學習效率2025-05-17