房地產估價師《房地產估價理論與方法》第七章資料二
第七章 成本法
第二節 房地產價格的構成
下列內容每年都要考,只是考試的題型不同而已。
一般將房地產價格構成劃分為以下7大項:①土地取得成本;②開發成本;③管理費用;④銷售費用;⑤ 投資利息;⑥銷售稅費;⑦開發利潤。
一、土地取得成本
土地取得成本是指取得房地產開發用地的必要支出。在目前情況下,土地取得成本的構成因取得房地產開發用地的途徑不同而不同。取得房地產開發用地的 途徑可歸納為以下3類情況:①通過市場購買取得;②通過征收集體土地取得;③通過城市房屋拆遷取得。在實際估價中,應根據估價對象的實際情況選取上述三種途徑之一來求取。
(一)、市場購買下的土地取得成本
在完善、成熟的土地市場下,土地取得成本一般是由購買土地的價款和應當由買方(在此為房地產開發商)繳納的稅費構成。這種情況下的土地取得成本主要由下列幾項組成:
(1)土地使用權購買價格,一般是采用市場法求取,也可以采用基準地價修正法、成本法求取。
(2)買方應當繳納的稅費,包括契稅、印花稅、交易手續費等,通常是根據稅法及中央和地方政府的有關規定,按照土地使用權購買價格的一定比例來測算。
例如,某宗面積為5000m2的房地產開發用地,市場價格(樓面地價)為800元/m2, 容積率為2, 受讓人需按照受讓價格的3%繳納契稅等稅費,則土地取得成本為:
800×5000×2×(1+3%)=824(萬元)
(二)、征收集體土地下的土地取得成本
征收集體土地下的土地取得成本包括征地補償安置費用、相關稅費和土地使用權出讓金等土地有償使用費三個部分。
(1)征地補償安置費用,也稱為征地補償費用,一般由以下4項費用組成:①土地補償費,②安置補助費,③地上附著物和青苗的補償費,④安排被征地農民的社會保障費用。這些費用一般是根據有關規定的標準或者采用市場法求取。
(2)相關稅費,一般包括以下4項稅費:①征地管理費,②耕地占用稅,③耕地開墾費,④新菜地開發建設基金。這些稅費一般是依照有關規定的標準求取。
(3)土地使用權出讓金等土地有償使用費,一般是依照有關規定的標準或采用市場法求取。
征收集體土地所發生的必要支出及其標準,詳見本章第六節的有關內容。
(三)、城市房屋拆遷下的土地取得成本
城市房屋拆遷下的土地取得成本包括房屋拆遷補償安置費用、相關費用和土地使用權出讓金等土地有償使用費三部分。
(1)房屋拆遷補償安置費用,一般由以下5項費用組成:①被拆遷房屋的房地產市場價格,②被拆遷房屋室內自行裝飾裝修的補償金額,③搬遷補助費,④安置補助費,⑤拆遷非住宅房屋造成停產停業的補償費。這些費用一般是采用市場法或根據有關規定的標準求取。
(2)相關費用,一般包括以下4項費用:①房屋拆遷管理費,②房屋拆遷服務費,③房屋拆遷估價費,④房屋拆除和渣土清運費。這些費用一般是依照有關規定的標準或采用市場法求取。
(3)土地使用權出讓金等土地有償使用費,一般是依照有關規定的標準或采用市場法求取。
城市房屋拆遷所發生的必要支出及其標準,詳見本章第六節的有關內容。
二、開發成本
開發成本是指在取得的房地產開發用地上進行基礎設施建設、房屋建設所必要的直接費用、稅金等,主要包括下列幾項:
(1)勘察設計和前期工程費。要注意場地平整等費用與前面的土地取得成本的銜接,如果土地取得成本中包含了房屋拆除費(拆除房屋和清運渣土等費用)或者取得的房地產開發用地是“七通一平”等場地平整的熟地,則在此就沒有或者只有部分場地平整等費用。
(2)建筑安裝工程費,包括建造商品房及附屬工程所發生的土建工程費用、安裝工程費用、裝飾裝修工程費用等。附屬工程是指房屋周圍的圍墻、水池、建筑小品、綠化等。要注意避免與下面的基礎設施建設費、公共配套設施建設費重復。
(3)基礎設施建設費,包括城市規劃要求配套的道路、給排水(給水、雨水、污水、中水)、電力、燃氣、熱力、電信、有線電視等設施的建設費用。如果取得的房地產開發用地是熟地,則基礎設施建設費已部分或全部包含在土地取得成本中,在此就只有部分基礎設施建設費或者沒有基礎設施建設費。
(4)公共配套設施建設費,包括城市規劃要求配套的教育(如幼兒園)、醫療衛生(如醫院)、文化體育(如文化活動中心)、社區服務(如居委會)、市政公用(如公共廁所)等非營業性設施的建設費用。
(5)其他工程費,包括工程監理費、竣工驗收費等。
(6)開發期間稅費,包括有關稅收和地方政府或其有關部門收取的費用,如綠化建設費、人防工程費等。
可以將上述開發成本劃分為土地開發成本和建筑物建設成本。其中,開發成 本中本質上應歸屬于土地價值的基礎設施建設費等費用,屬于土地開發成本。開發成本減去土地開發成本后的余額,屬于建筑物建設成本。公共配套設施建設費等費用視土地市場成熟度、房地產開發用地大小等情況,歸入土地開發成本或建筑物建設成本中,或者在兩者之間進行合理分攤。
三、管理費用
管理費用是指房地產開發商為組織和管理房地產開發經營活動所必要的費用,包括房地產開發商的人員工資及福利費、辦公費、差旅費等,可總結為土地取得成本與開發成本之和的一定比例,例如5%。因此,在估價時管理費用通常可按照土地取得成本與開發成本之和乘以這一比例來測算。
四、銷售費用
銷售費用也稱為銷售成本,是指預售未來開發完成的房地產或者銷售已經開發完成的房地產所必要的費用,包括廣告費、銷售資料制作費、樣板房或樣板間建設費、售樓處建設費、銷售人員費用或者銷售代理費等。為便于投資利息的測算,銷售費用應當區分為銷售之前發生的費用和與銷售同時發生的費用。廣告費、銷售資料制作費、樣板房或樣板間建設費、售樓處建設費一般是在銷售之前發生的,銷售代理費一般是與銷售同時發生的。銷售費用通常按照售價乘以一定比例來測算,例如為售價的4% 。
五、投資利息
(一)、投資利息的含義
投資利息與財務費用不完全相同,是指在房地產開發完成或實現銷售之前發生的所有必要費用應計算的利息,而不僅是借款的利息和手續費。因此,土地取得成本、開發成本、管理費用和銷售費用,無論它們是來自借貸資金還是自有資金,均應計算利息。
(二)、投資利息的計算
計算投資利息具體需要把握下列6個方面
1、應計息的項目
應計息的項目包括取得土地成本、開發成本、管理費用和銷售費用。銷售稅費一般不計利息。(此句話必須記住,不然在計算投資利息時一定出錯)。
2、計息周期
計息周期是計算利息的單位時間。計息周期可以是年、半年、季、月等,通常為年。
3、計息期的長短
計算投資利息的一項基礎工作是要估算開發期。在成本法中,開發期的起始點一般是取得房地產開發用地的日期,重點是估價對象開發完成的日期,并由于一般是假設估價對象在估價時點時完成,所以開發期的終點一般是估價時點。當估價對象為現房的,一般是假設估價對象在估價時點竣工驗收完成。(此句話必須記住,不然在計算投資利息的n值時一定出錯)。
每項費用的計息期的起點,是該項費用發生的時點,終點是開發期的終點,一般不考慮預售和延遲銷售的情況。另外需要說明的是,有些費用不是集中在一個時點發生,而是分散在一個時期內發生(如在一段時間內持續發生), 但計息時通常將其假設為在所發生的時間段內均勻發生,并具體視為集中發生在該時間段的期中。對發生的時間段的劃分一般與計息周期相同。(此句話必須記住,關鍵是會用,特別是連續投入的情況,往往大家不會n值或者常常出錯)。

4、計息方式
計息方式有單利和復利兩種。其中,單利是指每期均按原始本金計算利息,即只有本金計算利息,而本金所產生的利息不計算利息。在單利計息下,每期的利息是常數。如果用P表示本金,i表示利率 ,n 表示計息周期數 ,I表示總利息,F表示計息期未的本利和,則有:

復利是指以上一期的利息加上本金為基數計算當期利息的方法。在復利計息下,不僅本金要計算利息,利息也要計算利息,即通常所說的利滾利。
復利的本利和計算公式為 :
F = P (1 + i)n
復利的總利息計算公式為 :
I = P[(1+i)n - 1]
復利本利和計算公式的推導過程見教材表7-1。
上述內容在《房地產開發經營與管理》科目已講述。
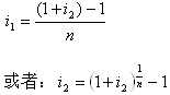
一般在本金相等、計息周期數相同時,如果利率相同,則通常情況下(計息周期數大于1)單利計息的利息少,復利計息的利息多;如果要使單利計息與復利計息兩不吃虧,則兩者的利率應不同,其中單利的利率應高一些,復利的利率應低一些。假設i1為單利利率 ,i2為復利利率,并令n期末單利計息與復利計息的本利和相等,即:
P(1+i1×n)=P(1+i2)n
可以得出單利計息與復利計息兩不吃虧的利率關系如下:
由于通常情況下單利存款(定期)在存款期間不能隨意提取,流動性相對較差,因此,實際上的單利利率還應比上述計算出的單利利率高一些。
例如,某銀行存款的計息方式采用單利,假設其一年期存款的年利率5%,為吸引3年期的儲戶,則其3年期存款的單利年利率應大于:
此計算題,曾多年考過。
弄清了單利與復利的關系后,可知單利與復利并沒有實質上的區別,只是表達方式上的不同。利息計算本質上都是復利(否則可在每一計息周期結束時將本利一起取出后再存入), 采取單利方式只是為了實際計算上的方便。
5、利率的高低
利率是用百分比表示的單位時間內增加的利息與原金額之比,有單利利率和復利利率兩種。選取不同的利率,應采取相對應的計息方式,反過來,采取不同的計息方式,應選取相對應的利率,不能混淆。
6、名義利率和實際利率
在復利計息下,當利率的時間單位與計息周期不一致時,例如,利率的時間單位為一年,而計息周期為半年、季、月、周或天等,就出現了名義利率和實際利率 (也稱為有效利率)的概念。假設名義年利率為 r, 一年中計息m次,則每次計息的利率為r/m,至n年末時,在名義利率下的本利和為:
如果每半年計息1次,則 m = 2;每季度計息1次,則m=4;每月計息1次,則m=12。
名義利率與實際利率的關系,還可以通過利率的計算公式得出,即:
例如,年利率為6%, 存款額為1000元,存款期限為1年,如果按一年6%的利率計息1次,按半年3%(6%÷2) 的利率計息2次,按季1.5%(6%÷4)的利率計息4 次,按月0.5%(6%÷12) 的利率計息12 次,則在這4種情況下的本利和分別如下 :
一年計息1次:F=1000×(1+6%)
=1060.00( 元 )
一年計息2次:F=1000×(1+3%)2
=1060.90( 元 )
一年計息4次:F=1000×(1+1.5%)4
=1061.36( 元 )
一年計息12次:F=1000×(1+0.5%)12
=1061.68( 元 )
這里的6%, 對于一年計息1次的情況來說,既是名義年利率又是實際年利 率:對于一年計息2次、4次和1次的情況來說,都是名義年利率,而實際年利率分別為:
一年計息2次 :(1+3%)2-1=6.09%
一年計息4次 :(1+1.5%)4-1=6.14%
一年計息12次 :(1+0.5%)12-1=6.17%
上述計算一定要會,每年都考。
六、銷售稅費
銷售稅費是指預售未來開發完成的房地產或者銷售已經開發完成的房地產應由賣方(在此為房地產開發商)繳納的稅費,可分為下列兩類:
(1)銷售稅金及附加,包括營業稅、城市維護建設稅和教育費附加(通常簡稱為“ 兩稅一費”) 。
(2)其他銷售稅費,包括印花稅、交易手續費等。
銷售稅費一般是按照售價的一定比例收取,例如“兩稅一費”一般為售價的5.5%, 因此,在估價時通常按照售價乘以一定比例來測算。
值得指出的是,這里的銷售稅費不包括應由買方繳納的契稅等稅費,因為評估價值是建立在買賣雙方各自繳納自己應繳納的交易稅費下的價值。為便于實際估價中正常開發利潤率的調查、估計,銷售稅費一般也不包括應由賣方繳納的土地增值稅、企業所得稅。因為土地增值稅是以納稅人轉讓房地產取得的增值額為計稅依據的,每筆轉讓房地產取得的增值額都可能不同,從而應繳納的土地增值稅會有所不同。企業所得稅是以企業為對象繳納的,一個企業可能同時有多種業務或者多個房地產開發項目,有的業務或項目可能盈利較多,有的業務或項目可能盈利較少,有的業務或項目甚至虧損,從而不同的企業應繳納的企業所得稅會有所不同。(此段話為重要考點,其關鍵是“銷售稅費不包括應由買方繳納的契稅等稅費”)。
七、開發利潤
開發利潤是指房地產開發商(業主)的利潤,而不是建筑承包商的利潤。建筑承包商的利潤已包含在建筑安裝工程費等費用中。現實中的開發利潤是一種結果,是由銷售收入(售價)減去各項成本、費用、稅金后的余額。而在成本法中,“售價”是未知的,是需要求取的,開發利潤則是典型的房地產開發商進行特定的房地產開發所期望獲得的利潤,是需要事先估算的,因此,運用成本法估價需要先估算出開發利潤。
在估價中,估算開發利潤應當掌握下列幾點:
(1)為了與銷售稅費中不包括土地增值稅、企業所得稅的口徑一致,并得到相對客觀合理的開發利潤,開發利潤是土地增值稅、企業所得稅前的,簡稱稅前利潤,即:
開發利潤=開發完成后的房地產價值-土地成本-開發成本-管理費-銷售費用-投資利息-銷售稅費
(2)開發利潤是該類房地產開發項目在正常條件下房地產開發商所能獲得的平均利潤,而不是個別房地產開發商最終實際獲得的利潤,也不是個別房地產開發商所期望獲得的利潤(此句話是關鍵的考點)。
(3)開發利潤通常按照一定基數乘以相應的利潤率來估算。開發利潤的計算基數和相應的利潤率主要有下列4種:
1)計算基數 = 土地取得成本 + 開發成本,相應的利潤率稱為直接成本利潤率 ,即:

2)計算基數 = 土地取得成本 + 開發成本 + 管理費用十銷售費用,相應的利潤率稱為投資利潤率,即:

3)計算基數 = 土地取得成本 + 開發成本 + 管理費用 + 銷售費用 + 投資利息 ,相應的利潤率稱為成本利潤率,即:

4)計算基數 = 土地取得成本 + 開發成本 + 管理費用 + 銷售費用 + 投資利息 +銷售稅費+開發利潤 = 開發完成后的房地產價值(售價), 相應的利潤率稱為銷售利潤率,即:
由于有不同的利潤率,所以在估算開發利潤時要弄清利潤率的內涵,注意計算基數與利潤率之間的匹配,即選取不同的利潤率,應采用相應的計算基數。或者反過來,采用不同的計算基數,應選取相應的利潤率。其中,直接成本利潤率最大,其次是投資利潤率,再次是成本利潤率,銷售利潤率最小。從理論上講,同一個房地產開發項目的開發利潤,無論是采用哪種計算基數和與之相對應的利潤率來估算,所得出的結果都是相同的(此段話為關鍵考點)。
(4)利潤率是通過大量調查、了解同一市場上類似房地產開發項目的利潤率得到的。
將上述房地產價格各個構成部分累加得到的一般是房地產的總價。求取房地產的單價還需要將該總價除以商品房總面積(建筑面積或套內建筑面積等), 而不是除以房地產開發項目所有建筑物總面積。
另外,利用上述房地產價格構成并在銷售利潤率的情況下求取房地產價值時的公式是:

上述內容:記住關鍵的考點,記住各個公式的形式。
最新資訊
- 2025年備考房地產估價師刷題可以嗎?2025-11-07
- 2025年房地產估價師全科備考攻略2025-10-01
- 房地產估價師2025年怎么備考?2025-07-20
- 2025年注冊房地產估價師備考經驗:如何高效利用零碎時間2025-07-07
- 2025年房地產估價師備考攻略經驗2025-06-26
- 2025年房地產估價師考試備考攻略:高效學習方法與實用技巧2025-06-01
- 備考指導:2025年房地產估價師備考順序安排和考試科目特點2025-05-26
- 2025年房地產估價師考試如何備考?需要了解哪些信息?2025-05-21
- 備考指南:2025年房地產估價師備考順序是什么2025-05-19
- 2025年房地產估價師高效備考攻略:全面提升學習效率2025-05-17