2012年二級建造師《施工管理》全真模擬測評(2)
點擊進入:2012年二級建造師各科目全真模擬測評 各2套>>
一、單項選擇題(共70題,每題1分,每題的備選項中,只有1個符合題意)
1.按建設工程項目不同參與方的工作性質和組織特征劃分,項目管理的類型不包括( )的項目管理。
A.業主方 B.施工方 C.設計方 D.政府機構
【答案】 D
【試題解析】按建設工程生產組織的特點,一個項目往往由許多參與單位承擔不同的建設任務,而各參與單位的工作性質、工作任務和利益的不同,因此就形成了不同類型的項目管理,包括業主方、設計方、施工方、供貨方、總承包方的項目管理。
【考點來源】該考點來自教材的第1章《施工管理》的第1節:施工方項目管理。
2.施工方項目管理的任務不包括( )。
A. 施工成本控制 B. 施工合同管理
C. 項目的投資控制 D. 施工信息管理
【答案】C
【試題解析】施工方項目管理主要服務于項目的整體利益和施工方本身的利益,其項目管理的目標包括施工的成本目標、施工的進度目標和施工的質量目標。任務為“三控三管一協調”。
C是業主方項目管理的任務。
【考點來源】該考點來自教材的第1章《施工管理》的第1節:施工方項目管理。
3.下列有關組織論和組織工具的說法中錯誤的有( )。
A.組織分工反映一個組織系統中各子系統或各元素的工作任務分工和管理職能分工
B.組織結構模式是一種相對動態的組織關系
C.工作流程組織可反映一個組織系統中各項工作之間的邏輯關系,是一種動態關系
D.常用的組織結構模式包括職能組織結構、線性組織結構、矩陣組織結構
E.組織分工是一種相對動態的組織關系
【答案】BE
【考題解析】排除法
工作流程組織體現了動態的組織關系,組織結構模式和組織分工體現了相對靜態的組織關系。。
【考點來源】該考點來自教材的第一章《施工管理》的第2節:施工管理的組織。
4某建設項目采用施工總承包管理模式,R監理公司承擔施工監理任務G施工企業承擔主要的施工任務,業主將其中的二次裝修發包給C裝飾公司,則C裝飾公司在施工中應接受( )的施工管理。
A.業主 B.R監理公司
C.G施工企業 D.施工總承包
【答案】D
【解析】施工總包管理方的主要特征:無論業主指定分包,還是總包管理方決定選擇的分包,都應該服從總包管理方的管理。
【考點來源】該考點來自教材第一章:2Z101000 施工管理,第一節:2Z101010 施工方的項目管理
5.關于工作任務分工的說法,錯誤的是( )
A.工作任務分工可以用相應的組織關系來表示其組織工具
B.組織論中的組織分工指的是工作任務的分工
C.項目各參與方有各自的項目管理工作任務分工
D.工作任務分工應隨著項目進展而不斷深化和細化
【答案】B
【解析】組織分工包含工作任務分工和管理職能分工。
【考點來源】該考點來自教材第一章:2Z101000 施工管理,第二節:2Z101020 施工管理的組織
如果您在此過程中遇到任何疑問,請登錄環球網校二級建造師考試論壇,隨時與廣大考生朋友們一起交流!
點擊進入:2012年二級建造師各科目全真模擬測評 各2套>>
6.( )組織機構模式,在工作中常會出現交叉和矛盾的指令關系。
A.職能 B.線性 C.矩陣 D.事業部
【答案】 A
【試題解析】在職能組織結構中,每一個工作部門可能得到其直接和非直接的上級部門下達的工作指令,它就會有多個矛盾的指令源。
【考點來源】該考點來自教材的第1章《施工管理》的第2節:施工管理的組織。
7.依據動態目標控制理論,控制項目目標的措施有很多種,其中最重要的措施是( )。
A.組織措施 B.管理措施 C.經濟措施 D.技術措施
【答案】A
【試題解析】項目目標動態控制的糾偏措施主要包括:組織措施、管理措施、經濟措施、技術措施。紐織是目標能否實現的決定性因素,應充分重視組織措施對項目目標控制的作用。
【考點來源】該考點來自教材的第1章《施工管理》的第4節:建設工程項目目標的動態控制。
8.單位工程施工組織設計是以單位工程為對象編制的,在施工組織總設計指導下,由( )編制,用以指導單位工程的施工活動。
A. 建設單位 B. 施工單位
C. 設計單位 D. 監理單位
【答案】B
【試題解析】單位工程施工組織設計是以單位工程為對象編制的,在施工組織總設計指導下,由直接組織施工的單位編制,用以指導單位工程的施工活動。
【考點來源】該考點來自教材的第1章《施工管理》的第3節:施工組織設計的內容和編制方法。
9.以下對施工企業項目經理任務的說明,不正確的是( )。
A.施工企業項目經理和建設單位簽訂工程承包合同
B.施工企業項目經理與本企業法定代表人簽訂項目委托合同
C.項目經理的權力需要企業法定代表人授權
D.項目經理負責組織項目管理班子
【答案】A
【試題解析】排除法
建筑施工企業的項目經理,是指受企業法定代表人委托對工程項目施工過程全面負責的項目管理者,是建筑施工企業法定代表人在工程項目上的代表人。
施工企業和建設單位簽訂工程承包合同,而不是項目經理。
【考點來源】該考點來自教材的第1章《施工管理》的第5節:建施工方項目經理的工作性質、任務和責任。
10.目前,規定施工企業項目經理應由取得( )資質的人員擔任。
A.造價師 B.安全師 C.建筑師 D.建造師
【答案】D
【考題解析】施工企業項目經理,是建筑施工企業法定代表人在工程項目上的代表人。2003(國發[2003]5號)規定:“取消建筑施工企業項目經理資質核準,由注冊建造師代替,并設立過渡期為五年”。
建造師是一種專業人士的名稱,而項目經理是一個工作崗位上的名稱。
【考點來源】該考點來自教材的第一章《施工管理》的第5節:施工方項目經理的工作性質、任務和責任。
如果您在此過程中遇到任何疑問,請登錄環球網校二級建造師考試論壇,隨時與廣大考生朋友們一起交流!
點擊進入:2012年二級建造師各科目全真模擬測評 各2套>>
11.國際上把建設監理單位所提供的服務歸為( )服務。
A.工程咨詢 B.工程管理 C.工程監督 D.工程策劃
【答案】A
【考題解析】監理單位是建筑市場的主體之一,建設監理是一種高智能的有償技術服務。在國際上把這類服務歸為工程咨詢服務。我國歸為業主方項目管理的范疇。
【考點來源】該考點來自教材的第一章《施工管理》的第7節:建設工程監理。
12.下列分步(分項)工程中,需要編制部分(分項) 工程施工組織設計的是( )
A.零星土石方工程
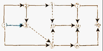
B.場地平整
C.混凝土墊層工程
D.定向爆破工程
【答案】D
【解析】分部分項工程施工組織設計是針對某些特別重要的、技術復雜的、或采用新工藝,新技術施工的分部分項工程,如定向爆破工程等為對象編制的。
【考點來源】該考點來自教材第一章:2Z101000 施工管理,第三節:2Z101030 施工組織設計的內容和編制方法
13.某施工項目經理,在組織項目施工中,施工質量控制不嚴,造成工程反工,賠償直接經濟損失達30萬元,則施工企業主要追究其( )
A.法律責任
B.經濟責任
C.行政責任
D.領導責任
【答案】B
【解析】政府主管部門追究的主要是法律責任,企業追究的主要是經濟責任。
【考點來源】該考點來自教材第一章:2Z101000 施工管理,第五節:2Z101050 施工方項目經理的任務和責任
14.下列費用中不屬于直接工程費的是( )。
A. 材料費 B. 企業管理費 C.人工費 D.施工機械用費
【答案】B
【試題解析】直接工程費是指施工過程中耗費的構成工程實體的各項費用,包括人工費、材料費、施工機械使用費。
【考點來源】該考點來自教材的第二章《施工成本控制》的第1節:建筑安裝工程費用項目的組成與計算。
15.我國現行建筑安裝工程費用構成中,材料二次搬運費應計入( )。
A.材料費 B.措施費
C.企業管理費 D.工程建設其他費
【答案】B
【試題解析】排除法
措施費是指為完成工程項目施工,發生于該工程施工前和施工過程中非工程實體項目的費用,一般包括環境保護費、文明施工費、安全施工費、臨時設施費、夜間施工增加費、二次搬運費、大型機械設備進出場及安拆費、混凝土-鋼筋混凝土模板及支架費、腳手架費、已完工程及設備保護費、施工排水、降水費等12項。
【考點來源】該考點來自教材的第二章《施工成本控制》的第1節:建筑安裝工程費用項目的組成與計算。
如果您在此過程中遇到任何疑問,請登錄環球網校二級建造師考試論壇,隨時與廣大考生朋友們一起交流!
點擊進入:2012年二級建造師各科目全真模擬測評 各2套>>
16.建筑安裝工程費中的稅金是指( )。
A.營業稅、增值稅和教育費附加
B.營業稅、固定資產投資方向調節稅和教育費附加
C.營業稅、城鄉維護建設稅和教育費附加
D.營業稅、城鄉維護建設稅和固定投資方向調節稅。
【答案】C
【試題解析】指國家稅法規定的應計入建筑安裝工程造價的營業稅、城市維護建設稅及教育費附加。
【考點來源】該考點來自教材的第二章《施工成本控制》的第1節:建筑安裝工程費用項目的組成與計算。
17.關于工程監理的說法中正確的是( )。
A.監理單位與項目法人之間是監理與被監理的關系
B.我國的建設工程監理屬于業主方項目管理的范疇
C.工程監理單位與承包單位串通,為承包單位謀取非法利益,給建設單位造成損失的,應當承擔部分責任
D.工程監理應當對承包單位在施工質量、建設工期和建設資金使用等方面,代表政府實施監督
【答案】B
【試題解析】建設工程監理是一種高智能的有償技術服務。國際上把這類服務歸為工程咨詢(工程顧問)服務。我國的建設工程監理屬于國際上業主方項目管理范疇。
A監理單位與項目法人之間是委托與被委托的關系;
C工程監理單位與承包單位串通,給建設單位造成損失的,應當承擔連帶責任;
D工程監理代表業主實施監督;
【考點來源】該考點來自教材的第1章《施工管理》的第7節:建設工程監理。
18.一般情況下,進行施工成本計劃編制時,計劃施工成本總額應控制在( )的范圍內。
A.投標報價 B.合同價款 C.目標成本 D.施工成本
【答案】C
【試題解析】計劃施工成本總額應控制在目標成本的范圍內。
【考點來源】該考點來自教材的第2章《施工成本管理》的第3節:施工成本管理與施工成本計劃。
19.生產工人王某受單位委派到外地集中培訓一個月,此間他的工資屬于( )。
A.基本工資 B.工資性補貼
C.生產工人輔助工資 D.職工福利費
【答案】 C
【考題解析】人工費是指直接從事建筑安裝工程施工的生產工人開支的各項費用,包括基本工工資性補貼、生產工人輔助工資、職工福利費、生產工人勞動保護費。
【考點來源】該考點來自教材的第2章《施工成本控制》的第1節:建筑安裝工程費用項目的組成與計算。
20.施工項目成本控制工作從施工項目( )開始直到竣工驗收,貫穿于全過程。
A.設計階段 B.投標階段 C.施工準備階段 D.正式開工
【答案】B
【考題解析】建設工程項目施工成本控制應貫穿于項目從投標階段開始直至竣工驗收的全過程。
【考點來源】該考點來自教材的第2章《施工成本控制》的第3節:施工成本管理與施工成本計劃。
如果您在此過程中遇到任何疑問,請登錄環球網校二級建造師考試論壇,隨時與廣大考生朋友們一起交流!
點擊進入:2012年二級建造師各科目全真模擬測評 各2套>>
21某施工項目的商品混凝土目標成本是420000元(目標產量500平方米,目標單價800元/平米,預計損耗率為5%),實際成本是511680元(實際產量600平方米,實際單價820元/平米,實際損耗率為4%).若采用因素分析法進行成本分析(因素的排列順序是:產量、單價、耗損率),則由于產量提高增加的成本是( )元
A.49200 B.12600
C.84000 D.91680
【答案】C
【解析】因素分析法的計算原則:先實物量,后價值量,先絕對值,后相對值。
目標成本 500 * 800 *1.05= 420000元;產量提高后:600*800*1.05=504000 元,所以由于產量增加導致成本增加 504000-420000=84000 元
【考點來源】該考點來自教材第二章:2Z102000 施工成本控制,第四節:2Z102040 施工成本控制與施工成本分析
22.根據《建設工程施工合同(示范文本)》(GF-99-0201),合同中有適用于變更工程的價格,則變更合同價款的確定方法是( )
A.直接按合同已有的價格確定
B.由發包人提供并經雙方確認執行
C.參照已有價格并結合變更工程量大小綜合確定
D.由承包人提出并經當地工程造價管理部門審查確定
【答案】A
【解析】已有的,按照已有的;有類似的,參照類似的;沒有的,由承包人或發包人提出適當的變更價格,經對方確認后執行。
【考點來源】該考點來自教材第二章:2Z102000 施工成本控制,第五節:2Z102050 建筑安裝工程費用的結算
23.在計算工程索賠時,最常用的索賠費用的計算方法是( )。
A.利潤索賠法 B.直接費用法
C.間接費用法 D.實際費用法
【答案】D
【試題解析】索賠費用的計算方法:實際費用法;總費用法;修正總費用法。實際費用法最常用的索賠費用的計算方法。
【考點來源】該考點來自教材的第2章《施工成本控制》的第5節:建筑安裝工程費用的結算。
24.在施工成本控制過程中,采取措施糾正成本偏差之前需要完成的工作不正確的是( )。
A.檢查糾偏措施的執行情況和效果
B.比較計劃值與實際值
C.確定偏差的嚴重性及偏差產生的原因
D.估計完成項目所需的總費用
【答案】A
【試題解析】施工成本控制的步驟
1、比較;2、分析;3、預測;4、糾偏;5、檢查。
【考點來源】該考點來自教材的第2章《施工成本控制》的第5節:建筑安裝工程費用的結算。
25.在項目清單的編制中,( )是招標人認為可能發生的工程變更而預留的金額。
A.暫估價 B.計日工 C.零星項目費 D.暫列金額
【答案】D
【試題解析】 利潤=計算基數×利潤率
計算基數可采用:
(1)以直接費和間接費合計為計算基礎;(直接費+間接費)×利潤率。
(2)以人工費和機械費合計為計算基礎;
(3)以人工費為計算基礎
【考點來源】該考點來自教材的第二章《施工成本控制》的第1節:建筑安裝工程費用項目的組成與計算。
如果您在此過程中遇到任何疑問,請登錄環球網校二級建造師考試論壇,隨時與廣大考生朋友們一起交流!
點擊進入:2012年二級建造師各科目全真模擬測評 各2套>>
26.建設工程定額按編制單位和適用范圍分,不包括()
A 概算定額 B 國家定額
C地區定額 D企業定額
【答案】C
【試題解析】按編制單位和適用范圍分為國家定額,行業定額,地區定額,企業定額。
A是按照編制程序和用途分。
【考點來源】該考點來自教材的第2章《施工成本管理》的第2節:建設工程定額。
27.某項目進行成本偏差分析,結果如下:已完工程實際施工成本-已完工程計劃施工成本<0,擬完工程計劃施工成本-已完工程計劃施工成本>0,則說明該項目( )。
A.成本節約,工期提前 B.成本超支,工期提前
C.成本超支,工期拖后 D.成本節約,工期拖后
【答案】D
【試題解析】費用偏差CV=已完工作預算費用(BCWP)一已完工作實際費用(ACWP)
CV為負值,頊目運行超出預算費用;CV為正值,項目運行節支。
● 進度偏差SV=已完工作預算赍用(BCWP)一計劃工作預算費用(BCWS)
SV為負值,進度延誤;SV為正值,進度提前。
【考點來源】該考點來自教材的第2章《施工成本管理》的第4節:施工成本控制與施工成本分析。
28.按子項目組成編制施工成本計劃,首先要把項目總施工成本分解到( )。
A.單體工程和單項工程中 B.單項工程和單位工程中
C.分部工程和分項工程中 D.單項工程和分部分項工程
【答案】B
【考題解析】按項目組成編制施工成本計劃的方法
大中型建設項目通常由若干個單項工程構成,而每個單項工程包括了多個單位工程,每個單位工程又是由若干個分部分項工程構成。
因此,按子項目編制施工成本計劃是,首先要把項目總施工成本分解到單項工程和單位工程中,再進一步分解為分部工程和分項工程。
【考點來源】該考點來自教材的第2章《施工成本控制》的第3節:施工成本管理與施工成本計劃。
29.某分項工程計劃工程量2000m3,計劃成本15元/m3,實際完成工程量1500m3,實際成本20元/m3,則該分項工程的施工費用偏差為( )。
A.節省7500元 B.超支7500元 C.超支12500元 D.節省12500元
【答案】B
【試題解析】費用偏差(CV)
=已完工作預算費用―已完工作實際費用
=1500×(15―20)=-7500
【考點來源】該考點來自教材的第2章《施工成本控制》的第4節:施工成本控制與施工成本分析。
30.下列建設工程項目進度控制工作中,屬于施工方進度控制任務的是( )
A.部署項目動用準備工作進度
B.協調設計、招標的工作進度
C.編著項目施工的工作計劃
D.編制供貨進度計劃
【答案】C
【解析】施工方應視項目的特點和施工進度控制的需要,編制深度不 同的控制性和直接知道項目施工的進度計劃,以及按不同計劃周期編制的計劃, 如年度,季度,月度和旬計劃。
【考點來源】該考點來自教材第三章:2Z103000 施工進度控制,第二節:2Z103020 施工方進度計劃的類型及其作用
如果您在此過程中遇到任何疑問,請登錄環球網校二級建造師考試論壇,隨時與廣大考生朋友們一起交流!
點擊進入:2012年二級建造師各科目全真模擬測評 各2套>>
31.下列網絡計劃中的計算工期是( )

A.9 B.11
C.12 D.13
【答案】C
【解析】可以嘗試線路最長的為關鍵線路得到工期:5+4+3=12.
【考點來源】該考點來自教材第三章:2Z103000 施工進度控制,第三節:2Z103030 施工進度計劃的編制方法
32.下列網路計劃中,工作E的最遲開始時間是( )

A.4 B.5
C.6 D.7
【答案】B
【解析】最遲開始時間等于其緊前工作的最晚完成時間的最大值,及max[4、5]=5。
【考點來源】該考點來自教材第三章:2Z103000 施工進度控制,第三節:2Z103030 施工進度計劃的編制方法
33.某工程用雙代號網絡圖進行工程網絡計劃,在其雙代號網絡圖中有虛線,這些虛線表示工作之間的( )。
A.自由時差 B.邏輯關系 C.先后順序 D.搭接關系
【答案】B
【試題解析】 在雙代號網絡圖中,為了正確地表述圖中工作之間的邏輯關系,往往需要應用虛箭線。虛箭線是實際工作中并不存在的一項虛設工作,故它們既不占用時間,也不消耗資源,一般起著工作之間的聯系、區分和斷路三個作用。
【考點來源】該考點來自教材的第三章《施工進度控制》的第3節:施工進度計劃的編制方法。
34.某建筑單位為進行項目進度控制調整組織機構,更換管理人員,這些行為屬于施工方進度控制中的( )。
A.組織措施 B.管理措施 C.技術措施 D.經濟措施
【答案】A
【試題解析】施工方進度控制的措施主要包括組織措施、管理措施、經濟措施和技術措施。
【考點來源】該考點來自教材的第三章《施工進度控制》的第4節:施工方進度控制的任務和措施。
35.在建設工程項目進度控制中,( )進度控制的任務是控制整個項目實施階段的進度。
A.業主方 B.施工方 C.設計方 D.供貨方
【答案】A
【試題解析】業主方進度控制的任務是控制整個項目實施階段的進度,包括控制設計準備階段的工作進度、設計工作進度、施工進度、物資采購工作進度、以及項目動用前準備階段的工作進度。
【考點來源】該考點來自教材的第三章《施工進度控制》的第1節:建設工程項目進度控制的目的和任務。
如果您在此過程中遇到任何疑問,請登錄環球網校二級建造師考試論壇,隨時與廣大考生朋友們一起交流!
點擊進入:2012年二級建造師各科目全真模擬測評 各2套>>
36.按照我國目前的有關規定,施工機械按照國家規定應繳納的養路費屬于( )。
A.直接工程費 B.措施費 C.規費 D.間接費
【答案】A
【試題解析】施工機械使用費是指施工機械作業所發生的機械使用費以及機械安拆費和場外運費。
【考點來源】該考點來自教材的第2章《施工成本管理》的第1節:建筑安裝工程費用項目的組成與計算。
37.某工程包含兩個子項工程,合同約定甲項200元/m2,乙項180元/m2,且從第一個月起,按5%的比例扣保修金,另工程師簽發月度付款憑證的最低金額為25萬元。現承包商第一個月實際完成并經工程師確認的甲、乙兩子項的工程量分別為700m2、500m2。本月應付的工程款為( )。
A.21.85萬元 B.22.66萬元
C.23.47萬元 D.25.36萬元
【答案】A
【試題解析】(200×700+180×500)×(1-0.05)=21.85萬元。但本月工程師簽發的實際付款金額為0。
【考點來源】該考點來自教材的第2章《施工成本管理》的第5節:建筑安裝工程費用的結算。
38.按照我國目前的有關規定,工程預付款應不遲于約定的開工日期( )支付。
A.前7天 B.當天 C.后7天 D.后14天
【答案】A
【試題解析】工程預付款應不遲于約定的開工日期前7天支付。
【考點來源】該考點來自教材的第2章《施工成本管理》的第5節:建筑安裝工程費用的結算。
39.建安工程費用的主要結算方式不包括( )。
A. 按天結算 B. 按月結算
C. 分段結算 D. 竣工后一次結算
【答案】A
【考題解析】建安工程費用的主要結算方式
按月結算;竣工后一次結算;分段結算;雙方約定的其他方法。
【考點來源】該考點來自教材的第2章《施工成本控制》的第5節:建筑安裝工程費用的結算。
40.在確認計量結果后( )天內,發包人應向承包人支付工程款(進度款)。
A.7 B.14 C.28 D.30
【答案】B
【考題解析】工程進度款的支付
《建設工程施工合同》關于工程進度款支付的約定:“在確認計量結果后14天內,發包人應向承包人支付工程款(進度款)”。
【考點來源】該考點來自教材的第2章《施工成本控制》的第5節:建筑安裝工程費用的結算。
如果您在此過程中遇到任何疑問,請登錄環球網校二級建造師考試論壇,隨時與廣大考生朋友們一起交流!
點擊進入:2012年二級建造師各科目全真模擬測評 各2套>>
41.工程項目建成后,不可能像某些工業產品那樣,可以拆卸或者解題來檢查內在的質量,所以工程項目施工質量控制應強調( )
A.質量驗收
B.施工方法的技術比選
C.過程控制
D.投入要素的質量控制
【答案】C
【解析】工程項目的終檢存在一定的局限性,故此工程項目的施工質量控制應強調過程控制。
【考點來源】該考點來自教材第四章:2Z104000 施工質量控制,第一節:2Z104010 施工質量管理和質量控制的基礎知識
42.工程項目質量管理中。應當在數據和信息分析的基礎上作出決策。這是質量管理原則中( )的要求。
A.持續改進
B.過程方法
C.基于事實的決策方法
D.管理的系統方法
【答案】C
【解析】工程項目質量管理中。應當在數據和信息分析的基礎上作出決策。這是質量管理原則中基于事實的決策方法的要求。
【考點來源】該考點來自教材第四章:2Z104000 施工質量控制,第二節:2Z104020 施工質量管理體系的建立和運行
43.橫道圖進度計劃法是一種常用的計劃編制方法,橫道圖進度計劃表中的進度線與( )相對應。
A.進度坐標 B.投資坐標 C.時間坐標 D.成本坐標
【答案】C
【試題解析】橫道圖的特點。
【考點來源】該考點來自教材的第三章《施工進度控制》的第3節:施工進度計劃的編制方法。
44.施工質量是指工程滿足( )需要的,符合國家法律、法規、技術規范標準、設計文件及合同規定的要求的特性綜合。
A.業主 B.承包商
C.項目經理 D.監理工程師
【答案】A
【試題解析】施工質量是指工程滿足業主(顧客)需要的,符合國家法律、法規、技術規范標準、設計文件及合同規定的要求的特性綜合,包括在安全、使用功能、耐久性、環境保護等方面特性。
【考點來源】該考點來自教材的第4章《施工質量控制》的第1節:施工質量管理和質量控制的基礎知識。
45.總進度目標論證的核心工作是編制( )。
A.項目實施的總體部署 B.總進度綱要
C.各子系統進度規劃 D.總進度目標實現的條件和應采取的措施等
【答案】B
【試題解析】大型建設工程項目總進度論證的核心工作是通過編制總進度綱要論證總進度目標實現的可能性。
【考點來源】該考點來自教材的第3章《施工進度控制》的第1節:建設工程項目進度控制的目的和任務。
如果您在此過程中遇到任何疑問,請登錄環球網校二級建造師考試論壇,隨時與廣大考生朋友們一起交流!
點擊進入:2012年二級建造師各科目全真模擬測評 各2套>>
46.建設單位在工程竣工驗收( )日前,向建設工程質量監督機構申領“建設工程竣工驗收備案表”和“建設工程竣工驗收報告”。
A.7 B.8 C.9 D.10
【答案】A
【試題解析】正式驗收
在竣工驗收7個工作日前將驗收時間、地點及老師名單書面通知當地工程質量監督站。
【考點來源】該考點來自教材的第4章《施工質量控制》的第3節:施工質量控制的內容與方法。
47.施工質量控制的特點不包括( )
A.控制難度大 B. 控制因素少
C.終檢局限大 D.過程控制要求高
【答案】B
【試題解析】施工質量控制的特點
控制因素多;控制難度大;過程控制要求高;終檢局限大。
【考點來源】該考點來自教材的第4章《施工質量控制》的第1節:施工質量管理和質量控制的基礎知識。
48.下列屬于不屬于施工準備的質量控制的是( )。
A. 材料的質量控制 B. 施工機械設備的質量控制
C. 技術交底 D. 現場施工準備的質量控制
【答案】C
【試題解析】排除法
C屬于施工過程的質量控制。
【考點來源】該考點來自教材的第4章《施工質量控制》的第3節:施工質量控制的內容與方法。
49.某埋管溝槽開挖分項工程,計日工每工日工資標準50元,折減系數為0.6。在開挖過程中,由于業主原因造成承包商8人窩工5天,承包商原因造成窩工10天,由此承包商提出的人工費索賠為( )。
A.1200元 B.2000元 C.6000元 D.3600元
【答案】A
【考題解析】人工費索賠計算=8×5×50×0.6=1200元。
【考點來源】該考點來自教材的第2章《施工成本控制》的第5節:建筑安裝工程費用的結算。
50.某工程單目標雙代號網絡計劃如下圖所示,圖中的錯誤是( )。
A.有多個起點節點 B.有多個終點節點
C.有雙向箭頭聯線 D.有循環回路

【答案】B
【試題解析】雙代號網絡圖中應只有一個起點節和一個終點節點(多目標網絡計劃除外),而其他所有節點均應是中間節點。
節點9和節點10均為終點節點。
【考點來源】該考點來自教材的第3章《施工進度控制》的第3節:施工進度計劃的編制方法。
如果您在此過程中遇到任何疑問,請登錄環球網校二級建造師考試論壇,隨時與廣大考生朋友們一起交流!
點擊進入:2012年二級建造師各科目全真模擬測評 各2套>>
51.建設工程質量控制過程中,選擇質量控制點的原則不包括( )。
A.施工中的薄弱環節
B.施工投入資源大的工序和部位
C.對下道工序有較大影響的上道工序
D.施工無把握、施工條件困難的工序
E.采用新技術或者新員工的部位或環節
【答案】D
【考題解析】選擇質量控制點的原則
1)對工程質量形成過程產生直接影響的關鍵部位、工序或環節及隱蔽工程;2)施工過程中的薄弱環節,或者質量不穩定的工序、部位或對象;3)對下道工序有較大影響的上道工序;4)采用新技術、新工藝、新材料的部位或環節;5)施工上無把握的、施工條件困難的或技術難度大的工序或環節;6)用戶反饋指出和過去有過返工的不良工序。
【考點來源】該考點來自教材的第4章《施工質量控制》的第3節:施工質量控制的內容與方法。
52.技術交底的內容包括( )。
A.施工總體流程和施工部署 B.任務范圍、施工方法、注意的問題等
C.每道工序的施工條件 D.法律、法規要求
【答案】B
【考題解析】技術交底的內容主要包括:任務范圍、施工方法、質量標準和驗收標準,施工中應注意的問題,可能出現意外的措施及應急方案,文明施工和安全防護措施以及成品保護要求等。
【考點來源】該考點來自教材的第4章《施工質量控制》的第3節:施工質量控制的內容與方法。
53.某工程在竣工質量驗收時,參與竣工驗收的設計單位與施工、監理單位發生爭執,無法形成一致的意見,該情況下,正確的做法是( )
A.由建設單位作出驗收結論
B.由質量監督站調解并作出驗收結論
C.協商一致后重新組織驗收并作出驗收結論
D.請建設行政主管部門調解并作出驗收結論
【答案】C
【解析】參與工程竣工驗收的建設,勘察,設計,施工,監理等 各方不能形成一致意見時,應當協商提出解決放大,待意見一致后,重新組織工 程竣工驗收,必要時可以提請建設行政主管部門或質量監督站調節。
【考點來源】該考點來自教材第四章:2Z104000 施工質量控制,第三節:2Z104030 施工質量控制的內容和方法
54.對需要旁站監理的鋼結構施工,施工企業至少應當在鋼結構安裝前( )時,書面通知監理單位派駐工地的監理機構。
A.24 B.36
C.48 D.60
【答案】A
【解析】對需要旁站監理的鋼結構施工,施工企業至少應當在鋼結構安裝前24時,書面通知監理單位派駐工地的監理機構。
【考點來源】該考點來自教材第一章:2Z101000 施工管理,第七節:2Z101070 建設工程監理
55.根據《建筑安裝工程費用和項目組成》(建標[2003]206號),施工項目墻體砌筑所用的沙子在運輸過程中不可避免的耗損,應計入( )
A.企業管理費
B.二次搬運費
C.材料費
D.措施費
【答案】C
【解析】材料費包括:1、材料原價 2、材料運雜費 3、運輸損耗費 4、采購 及保管費 5、檢驗試驗費。
【考點來源】該考點來自教材第二章:2Z102000 施工成本控制,第一節:2Z102010 建筑安裝工程費用項目的組成與計算
如果您在此過程中遇到任何疑問,請登錄環球網校二級建造師考試論壇,隨時與廣大考生朋友們一起交流!
點擊進入:2012年二級建造師各科目全真模擬測評 各2套>>
56.質量事故的處理方法不包括( )。
A.修補處理 B.返工處理
C. 設計處理 D.報廢處理
【答案】C
【試題解析】事故處理的基本方法包括:修補處理、加固處理、返工處理、限制使用、報廢處理以及不作處理。
【考點來源】該考點來自教材的第4章《施工質量控制》的第4節:施工質量事故。
57.下列事故屬于重大事故的是( )。
A.嚴重影響使用功能或安全,存在重大安全隱患
B.直接經濟損失500萬元以上
C.工程倒塌或報廢,或直接經濟損失10萬元以上,500萬元以下
D.傷亡30人以上
【答案】C
【試題解析】質量事故按照造成損失的嚴重程度可分為:
重大質量事故(指工程倒塌或報廢;或由于質量事故造成人員死亡或重傷3人以上;或直接經濟損失10萬元以上的);
【考點來源】該考點來自教材的第4章《施工質量控制》的第4節:施工質量事故。
58..監督不到位;措施不力;材料、設備管理不善等所引發的質量事故屬于( )質量事故。
A.技術原因 B.管理原因
C.社會原因 D.經濟原因
【答案】B
【試題解析】質量事故按產生的原因可分為:技術原因引發的質量事故、管理原因引發的質量事故以及社會、經濟原因引發的質量事故。
【考點來源】該考點來自教材的第4章《施工質量控制》的第4節:施工質量事故。
59.根據《建筑工程施工質量驗收統一標準》(GB50300―2001),建筑工程質量驗收逐級劃分為( )。
A.分部工程、分項工程和檢驗批
B.分部工程、分項工程、隱蔽工程和檢驗批
C.單位工程、分部工程、分項工程和檢驗批
D.單位工程、分部工程、分項工程、隱蔽工程和檢驗批
【答案】C
【考題解析】施工過程質量驗收的內容
檢驗批和分項工程是質量驗收的基本單元;分部工程是在所含全部分項工程驗收的基礎上進行驗收的;單位工程作為具有獨立使用功能的完整的建筑產品,進行竣工質量驗收。
【考點來源】該考點來自教材的第4章《施工質量控制》的第3節:施工質量控制的內容與方法。
60.經有資質的檢測單位檢測鑒定達不到設計要求、但經( )認可能夠滿足結構安全和使用功能的檢驗批,可予以驗收。
A.建設單位核算 B.原設計單位核算
C.施工單位核算 D.監理工程師核算
【答案】B
【試題解析】當建筑工程質量不符合要求時,應按下列規定進行處理:
其中:
2)經有資質的檢測單位檢測鑒定能夠達到設計要求的檢驗批,應予以驗收。
3)經有資質的檢測單位檢測鑒定達不到設計要求、但經原設計單位核算認可能夠滿足結構安全和使用功能的檢驗批,可予以驗收。
【考點來源】該考點來自教材的第4章《施工質量控制》的第3節:施工質量控制的內容與方法。
如果您在此過程中遇到任何疑問,請登錄環球網校二級建造師考試論壇,隨時與廣大考生朋友們一起交流!
點擊進入:2012年二級建造師各科目全真模擬測評 各2套>>
61.某工程采用《建設工程工程量清單計件規范》(GB 50500-2008),指標人提供的工程量清單中挖土方的工程量為2600/平方米,投標人根據其施工方案計算出的挖土方作業量為4300/平方米,完成該分項工程的直接工程費為76000元。管理費為20000元。利潤為5000元。其他因素均不考慮,,則根據已知條件,投標人應報的綜合單價為( )元/平方米
A.23.49 B.29.28
C.36.92 D.38.85
【答案】D
【解析】清單綜合單價=(人工+材料+機械+管理費+利潤)/圖示尺寸的工程量凈量
= (76000+20000+5000)/ 2600= 38.85
【考點來源】該考點來自教材第二章:2Z102000 施工成本控制,第一節:2Z102010 建筑安裝工程費用項目的組成與計算
62.編制標準磚砌體材料消耗定額時,磚的消耗量應按( )確定
A.凈用量
B.凈用量加損耗量
C.一次損耗量
D.損耗量加補損量
【答案】B
【解析】材料消耗定額,主要包括確定直接使用在工程上的材料凈用量和在施工現場內運 輸和操作過程中的不可避免的廢料和損耗。
【考點來源】該考點來自教材第二章:2Z102000 施工成本控制,第二節:2Z102020 建設工程定額
63.《職業健康安全管理體系》和《環境管理體系》兩個體系總體框架相同,都采用了( )循環的運行模式和持續改進的理念。
A.PCDA B.PDCA C.ACPD D.CPDA
【答案】B
【試題解析】職業健康安全與環境管理體系的基本運行模式
采用的是PDCA動態循環、不斷上升的螺旋式管理運行模式。
【考點來源】該考點來自教材的第5章《建設工程職業健康安全與環境管理》的第2節:建設工程職業健康安全與環境管理。
64.下列不屬于施工準備階段的施工安全技術措施的是( )。
A. 技術準備措施 B. 物資準備措施
C. 拆除工程措施 D. 施工現場準備措施
【答案】C
【試題解析】施工準備階段的施工安全技術措施主要包括技術準備、物資準備、施工現場準備和施工隊伍準備。
施工階段的施工安全技術措施主要包括一般工程、特殊工程以及拆除工程。
【考點來源】該考點來自教材的第5章《建設工程職業健康安全與環境管理》的第1節:施工安全管理。
65.施工總承包模式和施工總承包管理模式相比,其相同之處是( )。
A.工作開展程序相同 B.合同結構相同
C.分包單位的選擇和認可相同 D.對分包單位的管理和服務
【答案】D
【試題解析】施工總承包管理與施工總承包模式的比較
1、工作開展程序不同;2、合同關系不同;3、分包單位的選擇和認可不同;4、對分包單位的付款不同;5、合同價格不同。
而對分包單位的管理和服務: 施工總承包管理單位和施工總承包單位一樣,既要負責對現場施工的總體管理和協調,也要負責向分包人提供相應的配合施工的服務。
【考點來源】該考點來自教材的第一章《建設工程項目的組織與管理》的第四節:建設工程項目采購的模式。
如果您在此過程中遇到任何疑問,請登錄環球網校二級建造師考試論壇,隨時與廣大考生朋友們一起交流!
點擊進入:2012年二級建造師各科目全真模擬測評 各2套>>
66.承包人覆蓋工程隱蔽部位后,監理人對質量有疑問的,可要求承包人對已覆蓋的部位進行鉆孔探測或揭開重新檢驗。經檢驗證明工程質量符合合同要求的,由發包人承擔由此增加的費用和(或)工期延誤由( )承擔。
A.承包人 B.發包人 C.分包人 D.監理工程師
【答案】B
【試題解析】承包人覆蓋工程隱蔽部位后,監理人對質量有疑問的,可要求承包人對已覆蓋的部位進行鉆孔探測或揭開重新檢驗。經檢驗證明工程質量符合合同要求的,由發包人承擔由此增加的費用和(或)工期延誤,并支付承包人合理利潤;經檢驗證明工程質量不符合合同要求的,承包人承擔由此增加的費用和(或)工期延誤。
【考點來源】該考點來自教材的第6章《施工合同管理》的第2節:施工承包與物資采購合同的內容。
67.施工安全技術保證體系包括:①安全可靠性技術;②安全保(排)險技術;③安全限控制技術;④安全保護技術四個保證環節,該體系從第一關到第四關的排列順序是( )。
A①→③→②→④ B②→④→①→③
C③→④→①→② D④→①→②→③
【答案】A
【試題解析】施工安全的技術保證體系
包括安全可靠性技術、安全限控技術、安全保險與排險技術、安全保護技術。
【考點來源】該考點來自教材的第5章《建設工程職業健康安全與環境管理》的第1節:施工安全管理。
68.職生產安全事故發生后,受傷者或最先發現事故的人員應立即用最快的傳遞手段,將發生事故的時間、地點、傷亡人數、事故原因等情況,向施工單位負責人報告;施工單位負責人接到報告后,應當在( )小時內向事故發生地縣級以上人民政府建設主管部門和有關部門報告。
A.1 B.2 C.3 D.4
【答案】A
【考題解析】事故報告
現場 → 施工單位負責人 → 主管部門
(立即) (1小時內)
注:出現新情況或傷亡人數變化,30日內及時補報。
【考點來源】該考點來自教材的第5章《建設工程職業健康安全與環境管理》的第2節:建設工程職業健康安全與環境管理。
69.某施工企業通過投標獲得了某工程的施工任務,合同簽訂后,公司有關部門開始選派項目經理并編制成本計劃,該階段編制的成本計劃屬于( )。
A.競爭性成本計劃
B.指導性成本計劃
C.實施性成本計劃
D.戰略性成本計劃
【答案】B
【解析】指導性成本計劃是選派項目經理階段的預算成本計劃, 是項目經理的責任成本目標,它是以合同標書為依據。
【考點來源】該考點來自教材第二章:2Z102000 施工成本控制,第三節:2Z102030 施工成本管理與施工成本計劃
70.關于施工平行承發包特點的說法,正確的是( )
A.簽訂的合同越多,業主的責任與義務就越少
B.業主直接管理所有的施工合同,管理風險小
C.業主可以分次招標,每次招標工作量較小,業主用于招標的時間較少
D.業主直接控制所有工程的發包,可決定所有工程的承包商的選擇
【答案】D
【解析】施工平行承發包的特點
1.費用控制
(1)對每一部分工程施工任務的發包,都以施工圖設計為基礎,投標人進行投標報價較有依據,工程的不確定性程度降低了,對合同雙方的風險也相對降低了;
(2)每一部分工程的施工,發包人都可以通過招標選擇最好的施工單位承包,對降低工程造價有利;
(3)對業主來說,要等最后一份合同簽訂后才知道整個工程的總造價,對投資的早期控制不利。
2.進度控制
(1)某一部分施工圖完成后,即可開始這部分工程的招標,開工日期提前,可以邊設計邊施工,縮短建設周期;
(2)由于要進行多次招標,業主用于招標的時間較多。
3.質量控制
(1)符合質量控制上的“他人控制”原則,對業主的質量控制有利;
(2)合同交界面比較多,應非常重視各合同之間界面的定義,否則對質量控制不利。
4.合同管理
(1)業主要負責所有施工承包合同的招標、合同談判、簽約,招標及合同管理工作量大,對業主不利;
(2)業主要負責對多個施工承包合同的跟蹤管理,工作量較大。
5.組織與協調
業主要負責對所有承包商的管理及組織協調,承擔類似于總承包管理的角色,工作量大,對業主不利。
【考點來源】該考點來自教材第六章:2Z106000 施工合同管理,第一節:2Z106010 施工承發包的模式
如果您在此過程中遇到任何疑問,請登錄環球網校二級建造師考試論壇,隨時與廣大考生朋友們一起交流!
點擊進入:2012年二級建造師各科目全真模擬測評 各2套>>
二、多項選擇題(共25題,每題2分。每題的備選項中,有2個或2個以上符合題意,至少有一個錯項。錯選, 本題不得分;少選,所選的每個選項的0.5分)
71.按照組織論的基本原理,組織工具是組織論的應用手段,它包括( )。
A.組織結構圖 B.任務分工表
C.管理職能分工表 D.工作流程圖
E.施工圖
【答案】ABCD
【試題解析】組織工具:項目結構圖;組織結構圖;工作任務分工表;管理職能分工表;工作流程圖。
【考點來源】該考點來自教材的第1章《施工管理》的第2節:施工管理的組織。
72.按照風險管理理論,就構成風險的因素對風險的類型進行分類,可以分為( )。
A.組織風險 B.設備風險 C.經濟與管理風險
D.工程環境風險 E.技術風險
【答案】ACDE
【試題解析】建設工程施工的風險類型有多種分類方法,按照構成的因素分類,可將其分為組織風險、經濟與管理風險、工程環境風險和技術風險四種。
【考點來源】該考點來自教材的第1章《施工管理》的第6節:施工風險管理。
73.下列( )的項目管理都屬于施工方的項目管理。
A.施工總承包方 B.設備供應方
C.施工分包方 D.建設項目總承包方
E 建設項目開發方
【答案】AC
【考題解析】投資方、開發方和由咨詢公司提供的代表業主方利益的項目管理服務都屬于業主方的項目管理。施工總承包方和分包方的項目管理都屬于施工方的項目管理。材料和設備供應方的項目管理都屬于供貨方的項目管理。
【考點來源】該考點來自教材的第一章《施工管理》的第1節:施工方項目管理。
74.我國推行建設工程監理制度的目的是( )。
A. 確保工程建設質量 B. 提高工程建設水平
C. 加強對施工單位的約束 D. 充分發揮投資效益
E. 增加工程咨詢服務的市場份額
【答案】ABD
【試題解析】推行建設工程監理制度的目的:確保工程建設質量; 提高工程建設水平;充分發揮投資效益。
【考點來源】該考點來自教材的第1章《施工管理》的第7節:建設工程監理。
75.按照我國目前建筑安裝工程費用組成,人工工日單價的組成費用包括( )。
A. 生產工人基本工資 B. 施工機械司機基本工資
C. 生產工人輔助工資 D.企業職工教育培訓經費
E. 生產工人勞動保護費
【答案】ACE
【試題解析】人工費是指直接從事建筑安裝工程施工的生產工人開支的各項費用,包括基本工資、工資性補貼、生產工人輔助工資、職工福利費、生產工人勞動保護費。
B屬于機械費;D屬于企業管理費。
【考點來源】該考點來自教材的第2章《施工成本控制》的第1節:建筑安裝工程費用項目的組成與計算。
如果您在此過程中遇到任何疑問,請登錄環球網校二級建造師考試論壇,隨時與廣大考生朋友們一起交流!
點擊進入:2012年二級建造師各科目全真模擬測評 各2套>>
76.建筑工程監理應當依照( ),對承包單位在施工質量、建設工期和建設資金使用等方面,代表建設單位實施監督。
A.法律及行政法規 B.有關的技術標準
C.項目建議書 D.設計文件
E 建筑工程承包合同
【答案】ABDE
【考題解析】根據中華人民共和國建筑法,建筑工程監理應當依照法律、行政法規及有關的技術標準、設計文件和建筑工程承包合同,對承包單位在施工質量、建設工期和建設資金使用等方面,代表建設單位實施監督。
【考點來源】該考點來自教材的第一章《施工管理》的第7節:建設工程監理。
77.政府質量監督機構在工程開工前進行第一次監督檢查,其內容有( )。
A.檢查項目參與各方的質量保證體系建立情況
B.審查施工組織設計、監理規劃等文件以及審批手續
C.檢查工程建設各方的合同文件的簽署情況
D.審查項目建設行政審批手續是否齊全完備
E.檢查相關人員的資格證書
【答案】AE
【解析】檢查的主要內容是:
(1) 檢查參與工程項目建設的各方質量保證體系的建立情況,包括組織機構、質量控制方案、措施及責任制的制度。
(2) 審查參與建設各方的工程精英資質證書和相關人員的資格證書。
(3) 審查按建設程序規定的開工前必須辦理的各項建設形成手續是否齊全完備。
(4) 審查施工組織設計、監理規劃文件以及審批手續。
(5) 檢查的結果記錄保存。
【考點來源】該考點來自教材第四章:2Z104000 施工質量控制,第五節:2Z104050 施工質量的政府監督
78.按照我國目前的建筑安裝工程費用組成,可以計入建筑安裝工程費的稅費有?( )?
A.房產稅 B.車船使用稅 C.教育費附加
D.營業稅 E.固定資產方向調節稅
【答案】CD
【試題解析】稅金
指國家稅法規定的應計入建筑安裝工程造價的營業稅、城市維護建設稅及教育費附加。
【考點來源】該考點來自教材的第2章《施工成本控制》的第1節:建筑安裝工程費用項目的組成與計算。
79.下列費用中,不屬于建筑安裝工程直接費的有( )。
A. 大型施工機械安拆費 B. 材料二次搬運
C. 工程排污費 D. 人工費
E. 材料費
【答案】ABC
【試題解析】排除法
AB是措施費,C是規費。
【考點來源】該考點來自教材的第2章《施工成本管理》的第1節:建筑安裝工程費用項目的組成與計算。
80.下列選項中,承包商可索賠人工費的項目有( )。
A.工效降低增加的勞動 B.完成合同之外的工作所花費的人工費
C.人工費增長 D.非承包商責任工期延期導致的窩工費
E 施工人員保險費
【答案】BD
【考題解析】索賠費用的組成――1.人工費
指完成合同之外的額外工作所花費的人工費用;由于非承包商責任的工效降低所增加的人工費用;超過法定工作時間加班勞動;法定人工費增長以及非承包商責任工期延期導致的人員窩工費和工資上漲費等。
【考點來源】該考點來自教材的第2章《施工成本控制》的第5節:建筑安裝工程費用的結算。
如果您在此過程中遇到任何疑問,請登錄環球網校二級建造師考試論壇,隨時與廣大考生朋友們一起交流!
點擊進入:2012年二級建造師各科目全真模擬測評 各2套>>
81.關于建設工程項目進度計劃系統的說法,正確的有( )。
A.項目進度計劃系統是項目進度控制的依據
B.項目進度計劃系統在項目實施前應建立并完善
C.項目各參與方可以編制多個不同的進度計劃系統
D.項目進度計劃系統中各計劃應注意聯系與協調
E.項目進度計劃系統可以有多個不同周期的進度計劃完成
【答案】ACDE
【解析】由于各種進度計劃編制所需要的必要資料是在項目進展過程中逐步形成的,因此項目進度計劃系統的建立和完善也有一個過程,它也是逐步完善的。
【考點來源】該考點來自教材第三章:2Z103000 施工進度控制,第二節:2Z103020 施工方進度計劃的類型及其作用
82.某工程施工進度計劃如圖所示,下列說法中,正確的有( )。

A.R的緊后工作有A、B
B.E的緊前工作只有C
C.D的緊后工作只有F
D.P沒有緊前工作
E.A、B的緊后工作都有D
【答案】ACDE
【解析】E的緊前工作有A和C。
【考點來源】該考點來自教材第三章:2Z103000 施工進度控制,第三節:2Z103030 施工進度計劃的編制方法
83.工程質量不符合要求時,應按規定進行處理,其中有( )。
A.經返工或更換設備的工程,應該重新檢查驗收
B.經有資質的檢測單位檢測鑒定,能達到設計要求的工程,應予驗收
C.經返修或加固處理的工程,若局部尺寸等不符合設計要求,不能通過驗收
D.經返修和加固后仍不能滿足使用要求的工程嚴禁驗收
E.只要經過政府主管部門批準合格,工程即可通過驗收
【答案】ABD
【試題解析】當建筑工程質量不符合要求時,應按下列規定進行處理:
1)經返工重做或更換器具、設備的檢驗批,應重新進行驗收。
2)經有資質的檢測單位檢測鑒定能夠達到設計要求的檢驗批,應予以驗收。
3)經有資質的檢測單位檢測鑒定達不到設計要求、但經原設計單位核算認可能夠滿足結構安全和使用功能的檢驗批,可予以驗收。
4)經返修或加固處理的分項、分部工程,雖然改變外形尺寸但仍能滿足安全使用要求,可按技術處理方案和協商文件進行驗收。
6.通過返修或加固處理仍不能滿足安全使用要求的分部工程、單位(子單位)工程,嚴禁驗收。
【考點來源】該考點來自教材的第4章《施工質量控制》的第3節:施工質量控制的內容與方法。
84.按造成損失的嚴重程度,質量事故可以分為( )。
A.一般質量事故 B.較大質量事故
C. 嚴重質量事故 D.重大質量事故
E.特大質量事故
【答案】ACDE
【試題解析】按照造成損失的嚴重程度可分為:一般質量事故;嚴重質量事故;重大質量事故;特別重大事故。
【考點來源】該考點來自教材的第4章《施工質量控制》的第4節:施工質量事故。
85.工程量清單計價的投標報價由( )部分組成
A 分部分項工程費 B 措施項目費 C 企業管理費用
D 規費 E 稅金
【答案】ABDE
【試題解析】工程量清單費用由分部分項工程費、措施項目費、其他項目費、規費和稅金組成。
【考點來源】該考點來自教材的第2章《施工成本管理》的第1節:建筑安裝工程費用項目的組成與計算。
如果您在此過程中遇到任何疑問,請登錄環球網校二級建造師考試論壇,隨時與廣大考生朋友們一起交流!
點擊進入:2012年二級建造師各科目全真模擬測評 各2套>>
86.依據工程網絡計劃理論,下列關于關鍵工作的說法正確的是( )。
A.關鍵工作位于關鍵線路上
B.關鍵工作是網絡計劃中總時差最小的工作
C.當計算工期不能滿足工期要求時,只能壓縮關鍵工作的持續時間
D.在網絡計劃中,自由時差最小的工作都是關鍵工作
E.當計劃工期等于計算工期時,關鍵工作的總時差為零
【答案】ABE
【試題解析】關鍵工作和關鍵線路的確定
(1)關鍵工作:總時差最小的工作是關鍵工作。
(2)關鍵線路:從起點節點開始到終點節點均為關鍵工作,且所有工作的時間間隔為零的線路為關鍵線路。
【考點來源】該考點來自教材的第3章《施工進度控制》的第3節:施工進度計劃的編制方法。
87.總進度綱要的主要內容包括( )。
A.項目實施的總體部署 B可行性研究報告
C.各子系統進度規劃 D.確定里程碑事件的計劃進度目標
E 總進度目標實現的條件和應采取的措施
【答案】ACDE
【考題解析】大型建設工程項目總進度目標論證的核心工作是:通過編制總進度綱要論證總進度目標實現的可能性。總進度綱要的主要內容包括:
1、項目實施的總體部署; 2、總進度規劃; 3、各子系統進度規劃;
4、確定里程碑事件的計劃進度目標;
5、總進度目標實現的條件和應采取的措施等。
【考點來源】該考點來自教材的第三章《施工進度控制》的第1節:建設工程項目進度控制的目的和任務。
88.下列施工質量控制內容中,屬于現場施工質量檢查內容的有( )。
A.開工條件檢查
B.工序交接檢查
C.材料質量檢驗報告檢查
D.成品保護檢查
E.施工機械性能穩定性檢查
【答案】ABD
【解析】現場質量檢查的主要內容包括:開工前的檢查,工序交接檢查,隱蔽工程檢查,停工復工的檢查,分項、分部工程完工后的檢查,成品保護的檢查。
【考點來源】該考點來自教材第四章:2Z104000 施工質量控制,第三節:2Z104030 施工質量控制的內容和方法
89.建設工程環境保護措施下列說法正確的有( )。
A.高大建筑物清理施工垃圾時,要使用封閉式的容器或者采取其他措施處理高空廢棄物,嚴禁凌空隨意拋撒
B.對于水泥、粉煤灰、白灰等的運輸、儲存要注意遮蓋、密封,防止和減少飛揚
C.施工現場的垃圾渣土每天都必須清理出現場
D.泥漿水,未經處理不得直接排入城市排水設施和河流
E.禁止將廢棄物用作土方回填
【答案】ABD
【試題解析】建設工程環境保護措施
⑴妥善處理泥漿水,未經處理不得直接排入城市排水設施和河流;
⑵除設有符合規定的裝置外,不得在施工現場熔融瀝青或者焚燒油氈、油漆以及其他會產生有毒有害煙塵和惡臭氣體的物質;
⑶使用密封式的圓筒或者采取其他措施處理高空廢棄物;
⑷采取有效措施控制施工過程中的揚塵;
⑸禁止將有毒有害廢棄物用作土方回填;
⑹對產生噪聲、振動的施工機械,應采取有效控制措施,減輕噪聲擾民
【考點來源】該考點來自教材的第5章《建設工程職業健康安全與環境管理制》的第2節:建設工程職業健康安全與環境管理。
90.施工質量的影響因素有( )
A.人的因素 B.機械的因素
C.材料的因素 D.政治法律因素
E.環境因素
【答案】ABCE
【試題解析】施工質量的影響因素4M1E
(1)人的因素;(2)材料的因素;(3)機械的因素;(4)方法的因素;(5)環境的因素。
【考點來源】該考點來自教材的第4章《施工質量控制》的第1節:施工質量管理和質量控制的基礎知識。
如果您在此過程中遇到任何疑問,請登錄環球網校二級建造師考試論壇,隨時與廣大考生朋友們一起交流!
點擊進入:2012年二級建造師各科目全真模擬測評 各2套>>
91.噪聲按振動性質可分為( )。
A.氣體動力噪聲 B.交通噪聲
C.電磁性噪聲 D.機械噪聲
E.爆炸性噪聲
【答案】ACDE
【試題解析】噪聲的類型
(1)機械性噪聲;(2)空氣動力性噪聲;(3)電磁性噪聲;(4)爆炸性噪聲
【考點來源】該考點來自教材的第5章《建設工程職業健康安全與環境管理》第2節:建設工程職業健康安全與環境管理。
92.下列文件中,屬于施工成本計劃編制依據的有( )
A.招標文件
B.施工成本預測資料
C.已簽訂的合同
D.施工組織設計或施工方案
E.企業定額、施工預算
【答案】BCDE
【解析】施工成本計劃的編制依據包括:
(1)投標報價文件;
(2)企業定額、施工預算;
(3)施工組織設計或施工方案;
(4)人工、材料、機械臺班的市場價;
(5)企業頒布的材料指導價、企業內部機械臺班價格、勞動力內部掛牌價格;
(6)周轉設備內部租賃價格、攤銷損耗標準;
(7)已簽訂的工程合同、分包含同(或估價書);
(8)結構件外加工計劃和合同;
(9)有關財務成本核算制度和財務歷史資料;
(10)施工成本預測資料;
(11)擬采取的降低施工成本的措施;
(12)其他相關資料。
【考點來源】該考點來自教材第二章:2Z102000 施工成本控制,第三節:2Z102030 施工成本管理與施工成本計劃
93.《建設工程施工合同示范文本》通用條款規定了發包人和承包人的責任義務,其中屬于發包人的責任義務包括( )。
A.負責施工場地與道路的申請
B.負責施工期間工地的安全,看管進場材料和設備
C.協助辦理施工許可證及其他施工所需證件、批件
D.按合同規定主持和組織工程的驗收
E.負責對分包的管理,并對分包人的行為負責
【答案】ACD
【試題解析】排除法
B、E是承包人的責任和義務。
【考點來源】該考點來自教材的第6章《施工合同管理》的第2節:施工承包與物資采購合同的內容。
94.勞務分包合同規定:勞務報酬可以采用( )方式。
A.固定勞務報酬(含管理費)
B.約定不同工種勞務的計時單價(含管理費),按確認的工時計算
C.約定不同工種勞務的計時單價(含管理費),按圖計算
D.約定不同工作成果的計件單價(含管理費),按確認的工程量計算
E.約定不同工作成果的計件單價(含管理費),按圖計算
【答案】ABD
【試題解析】勞務報酬可以采用以下方式中的任何一種:
(1)固定勞務報酬(含管理費);
(2)約定不同工種勞務的計時單價(含管理費),按確認的工時計算;
(3)約定不同工作成果的計件單價(含管理費),按確認的工程量計算。
【考點來源】該考點來自教材的第6章《施工合同管理》的第3節:施工單價合同、總價合同與成本加酬金合同。
95.采用固定總價合同,承包商承擔的風險主要有( )。
A.工期風險
B.價格風險
C. 工作量風險
D.施工技術方案引發的風險
E.政治風險
【答案】BC
【解析】固定總價合同的價格計算是以圖紙及規定、規范為基礎,工程任務和內容明確,業主的要求和條件清楚,合同總價一次包死,固定不變,即不再因為環境的變化和工程量的增減而變化。在這類合同中,承包商承擔了全部的工作量和價格的風險。因此,承包商在報價時應對一切費用的價格變動因素以及不可預見因素都做充分的估計,并將其包合在合同價格之中。
【考點來源】該考點來自教材第六章:2Z106000 施工合同管理,第三節:2Z106030 施工單價合同、總價合同與成本加酬金合同
如果您在此過程中遇到任何疑問,請登錄環球網校二級建造師考試論壇,隨時與廣大考生朋友們一起交流!
最新資訊
- 二建刷題哪個app好用?2026年備考就用它2025-09-19
- 2026二級建造師考試題庫及答案:科學使用備考資源2025-09-19
- 2026二建市政實務基礎自測卷你做了嗎?開啟備考第一步2025-08-14
- 2026年二建建筑實務自測模擬卷,看看你的基礎有多少分?2025-08-14
- 2026年二建題庫app哪個更好用,二建題庫哪里免費?2025-07-21
- 2025年二建刷題哪個app好用?快題庫好幫手2025-04-28
- 2025年二建考試題庫免費做題!免費下載!2025-04-28
- 2025年二級建造師題庫模擬試題各科匯總(免費下載+在線做題)2025-04-28
- 2025年考前沖刺:二級建造師考試題庫及答案2025-04-23
- 2025年環球網校二級建造師萬人模考卷《水利》匯總(3期全)2025-04-21