二級建造師施工管理備考練習題精選(15)
某工程項目施工采用《施工合同條件》,工期為15個月。承包方投標所報工期為13個月。合同總價確定為8000萬元。合同約定:實際完成工程量超過估計工程量25%以上時允許調整單價:拖延工期每天賠償金為合同總價的1‰。最高拖延工期賠償限額為合同總價的10%;若能提前竣工,每提前l天的獎金合同總價的1‰計算。
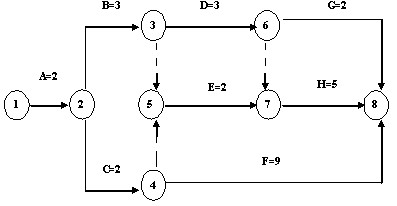
承包方開工前編制并經總監理工程師認可的施工進度計劃如下圖所示。

施工過程中發生了以下4個事件,致使承包人完成該項目的施工實際用了15個月。
(1)事件1:A、C兩項工作為土方工程,工程量均為16萬m3,土方工程的合同單價為16元/ m3。實際工程量與估計工程量相等,按計劃進行4個月后,總監理工程師以設計變更通知發布新增土方工程N的指示。該工作的性質和施工難度與A、C工作相同,計劃持續時間4個月,工程量為32萬m3。N工作在B和C工作完成后開始施工,且為H和G的緊前工作?偙O理工程師與承包單位依據合同約定協商后,確定的土方變更單價為14元/m3。承包單位按計劃用4個月完成。3項土方工程均租用1臺機械開挖,機械租賃費為1萬元/(月?臺)。由于承包人的原因,N工作實際用了4.5個月。
(2)事件2:F工作,因設計變更等待新圖紙延誤1個月。
(3)事件3:C工作由于連續降雨累計1個月導致實際施工3個月完成,其中0.5個月的日降雨量超過當地30年氣象資料記載的最大強度,按合同專用條款的界定為風險事件。
(4)事件4:H工作由于分包單位施工的工程質量不合格造成返工,實際5.5個月完成。
由于以上事件,承包單位提出以下索賠要求:
(1)順延工期6.5個月。理由是:完成N工作4個月;變更設計圖紙延誤1個月;連續降雨屬于不利的條件和障礙影響1個月;監理工程師未能很好地控制分包單位的施工質量應補償工期0.5個月。
(2)N工作的費用補償=16元/m3×32萬m3=512萬元。
(3)由于第5個月后才能開始N工作的施工,要求補償5個月的機械閑置費5月*1萬元/(月?臺)=5萬元。
根據場景(十六),回答下列問題:
81.上述施工進度網絡計劃中,關鍵線路為( )。
A.①~②~③~⑥~⑦~⑧
B.①~②~③~⑤~⑦~⑧
C.①~②~④~⑤~⑦~⑧
D.①~②~④~⑤~⑦~⑥~⑧
E.①~②~④~⑧
82.關于機械設備閑置時間說法中,準確的是( )。
A.按照原進度計劃安排,土方機械閑置時間為0
B.按照現在的進度計劃,土方機械閑置時間為0
C.按照原進度計劃安排,土方機械閑置時間為2個月
D.按照現在的進度計劃,土方機械閑置時間為1個月
E.按照現在的進度計劃,土方機械閑置時間為2個月
83.下列說法正確的是( )。
A.A是關鍵工作
B.C是關鍵工作
C.F是關鍵工作
D.F是非關鍵工作
E.H是非關鍵工作
84.工程網絡計劃中,當計劃工期等于計算工期時,關鍵線路是指( )的線路。
A.時標網絡計劃中沒有波形線
B.雙代號網絡計劃中沒有虛箭線
C.單代號網絡計劃中各關鍵工作之間的時間間隔均為零
D.單代號網絡計劃中各工作自由時差為零
E.雙代號網絡計劃中線路長度最長
81.AE 82.AB 83.ABC 84.ACE
2011年一級建造師課程報名>>> 2011年二級建造師課程報名>>>
2011年一級建造師課程免費試聽>>> 2011年二級建造師課程免費試聽>>>
更多相關新聞: 建造師論壇 一級建造師頻道 二級建造師頻道 建造師博客
最新資訊
- 二級建造師免費題庫軟件:快題庫使用指南2025-11-21
- 二建刷題哪個app好用?2026年備考就用它2025-09-19
- 2026二級建造師考試題庫及答案:科學使用備考資源2025-09-19
- 2026二建市政實務基礎自測卷你做了嗎?開啟備考第一步2025-08-14
- 2026年二建建筑實務自測模擬卷,看看你的基礎有多少分?2025-08-14
- 2026年二建題庫app哪個更好用,二建題庫哪里免費?2025-07-21
- 2025年二建刷題哪個app好用?快題庫好幫手2025-04-28
- 2025年二建考試題庫免費做題!免費下載!2025-04-28
- 2025年二級建造師題庫模擬試題各科匯總(免費下載+在線做題)2025-04-28
- 2025年考前沖刺:二級建造師考試題庫及答案2025-04-23